---------------------------------------------------------------
     OCR: Сергей Болдырев
---------------------------------------------------------------


     Предисловие редактора к двадцать четвертому изданию 6
     Предисловие к восемнадцатому изданию 7
     Принятые обозначения 8
     Введение 9
     Глава I. Образование проекций 10
     § 1. Проекции центральные 10
     § 2. Проекции параллельные 11
     § 3. Метод Монжа 13
     Вопросы к главе I 14
     Глава П. Точка и прямая 15
     § 4. Точка в системе двух плоскостей проекций ,, 2 15
     § 5. Точка в системе трех плоскостей проекций 1, 2, 3 17
     Вопросы к §§ 4-5 18
     § 6. Ортогональные проекции и система прямоугольных координат .... 18
     § 7. Точка в четвертях и октантах пространства 20
     Вопросы к §§6-7 22
     § 8. Образование дополнительных систем плоскостей проекций 22
     § 9. Чертежи без указания осей проекций 24
     Вопросы к §§ 8-9 25
     § 10. Проекции отрезка прямой линии 25
     § 11.  Особые (частные) положения прямой  линии относительно плоскостей
про
     екций 27
     § 12. Точка на прямой. Следы прямой 29
     Вопросы к §§ 10-12 32
     § 13. Построение на чертеже натуральной величины отрезка прямой общего
     положения и углов наклона прямой к плоскостям проекций 1 и 2 · · · 32
     § 14. Взаимное положение двух прямых 35
     § 15. О проекциях плоских углов 37
     Вопросы к §§ 13-15 40
     Глава III. Плоскость 42
     § 16. Различные способы задания плоскости на чертеже 42
     § 17. Следы плоскости 43
     § 18. Прямая и точка в плоскости. Прямые особого положения 44
     Вопросы к §§ 16-18 49
     § 19. Положения плоскости относительно плоскостей проекций 49
     Вопросы к § 19 54
     § 20. Проведение проецирующей плоскости через прямую линию 54
     § 21. Построение проекций плоских фигур 55
     Вопросы к §§ 20-21 61
     Глава ГУ. Взаимное положение двух плоскостей, прямой линии и  плоскости
.... 62
     §  22.  Обзор  взаимных  положений  двух  плоскостей,  прямой  линии  и
плоскости 62
     § 23. Пересечение  прямой линии с  плоскостью, перпендикулярной к одной
или
     к двум плоскостям проекций 64
     § 24. Построение линии пересечения двух плоскостей 65
     Вопросы  §§ 22-24 68
     § 25. Пересечение прямой линии с плоскостью общего положения 69
     §   26.  Построение   линии  пересечения  двух   плоскостей  по  точкам
пересечения
     прямых линий с плоскостью 70
     Вопросы к §§ 25-26 72


     § 27. Построение прямой линии и плоскости, параллельных между собой ...
72
     § 28. Построение взаимно параллельных плоскостей 73
     Вопросы к §§ 27-28 74
     § 29. Построение взаимно перпендикулярных прямой и плоскости 74
     § 30. Построение взаимно перпендикулярных плоскостей 77
     § 31. Построение проекций угла между прямой и плоскостью и между двумя
     плоскостями 78
     Вопросы к §§ 29-31 80
     Глава V. Способы перемены плоскостей проекций и вращения 81
     § 32. Приведение прямых линий и плоских фигур в частные положения отно
     сительно плоскостей проекций 81
     § 33. Способ перемены плоскостей проекций 81
     Вопросы к §§ 32-33 85
     § 34. Основы способа вращения 85
     § 35. Вращение точки, отрезка прямой, плоскости вокруг оси, перпендику
     лярной к плоскости проекций 86
     Вопросы к §§ 34-35 90
     §  36.  Применение  способа  вращения  без  указания  на  чертеже  осей
вращения,
     перпендикулярных к плоскости 1 или 2 90
     §   37.  Вращение  точки,   отрезка   прямой,  плоскости  вокруг   оси,
параллельной
     плоскости проекций, и вокруг следа плоскости .... 92
     Вопросы к §§ 36-37 96
     § 38. Примеры решения задач с применением способов перемены плоскостей
     проекций и вращения 96
     Вопросы к § 38 106
     Глава VI. Изображение многогранников 107
     § 39. Построение проекций многогранников 107
     § 40. Чертежи призм и пирамид 108
     § 41. Система расположения изображений на технических чертежах 112
     § 42. Пересечение призм и пирамид плоскостью и прямой линией .... 114
     Вопросы к §§ 39 --42 118
     § 43. Пересечение одной многогранной поверхности другою 118
     §  44.  Общие  приемы  развертывания  гранных  поверхностей  (призмы  и
пирамиды) 121
     Вопросы к §§ 43-44 124
     Глава VII. Кривые линии 125
     § 45. Общие сведения о кривых линиях и их проецировании 125
     § 46. Плоские кривые линии 127
     § 47. Пространственные кривые линии 130
     Вопросы  §§ 45-47 131
     § 48. Винтовые линии -- цилиндрические и конические 131
     Вопросы к § 48 136
     Глава VIII. Кривые поверхности 137
     § 49. Общие сведения о кривых поверхностях 137
     § 50. Обзор некоторых кривых поверхностей, их задание и изображение на
     чертежах , 139
     A. Поверхности линейчатые развертываемые 139
     Б. Поверхности линейчатые неразвертываемые 143
     B. Поверхности нелинейчатые 148
     Г. Поверхности, задаваемые каркасом 149
     Д. Поверхности графические 149
     Вопросы к §§ 49-50 150
     § 51. Поверхности вращения 150
     Вопросы  § 51 156
     § 52. Винтовые поверхности и винты 157
     Вопросы  § 52 163
     § 53. Проведение плоскостей, касательных  кривым поверхностям 164
     §  54.  Примеры  построения очерков проекций тела вращения  с наклонной
осью 166
     Вопросы к §§ 53-54 169
     Глава  IX.  Пересечение  кривых поверхностей плоскостью и прямой линией
.... 170
     § 55. Общие приемы построения линии пересечения кривой поверхности плос
     костью 170
     §  .56. Пересечение цилиндрической  поверхности  плоскостью. Построение
раз
     вертки.. 171
     Вопросы к §§ 55-56 176


     §  57.  Пересечение  конической   поверхности  плоскостью.   Построение
развертки 176
     Вопросы к § 57 185
     § 58.  Пересечение  сферы  и тора  плоскостью. Пример построения "линии
среза"
     на поверхности комбинированного тела вращения 185
     § 59. Пересечение кривых поверхностей прямой линией 189
     Вопросы к §§ 58-59 192
     Глава X. Пересечение одной поверхности другою, ю которых хотя  бы  одна
кривая 194
     §  60.  Общий способ  построения  линии  пересечения одной  поверхности
другою 194
     § 61. Подбор  вспомогательных  секущих плоскостей  в случаях, когда они
могут
     пересекать обе поверхности по прямым линиям 195
     § 62. Применение вспомогательных секущих плоскостей, параллельных пло
     скостям проекций 200
     Вопросы к §§ 60-62 201
     § 63. Некоторые особые случаи пересечения одной  поверхности другою . .
. 202
     § 64. Применение вспомогательных секущих сфер 206
     §  65.  Проецирование  линии  пересечения  двух  поверхностей  вращения
второго
     порядка на плоскость, параллельную их общей плоскости симметрии . . 211
     Вопросы  §§ 63 -- 65 216
     § 66. Примеры построения линий пересечения одной поверхности другою . .
. 217
     § 67. Пересечение кривой линии с кривой поверхностью 225
     Вопросы к §§ 66-61 . 226
     Глава XI. Развертывание кривых поверхностей 227


     § 70. Примеры построения разверток некоторых форм 231
     Вопросы к главе XI 233
     Глава XII. Аксонометрические проекции 234

     § 72. Прямоугольные аксонометрические проекции. Коэффициенты искажения
     и углы между осями 238
     § 73.  Построение прямоугольной аксонометрической проекции окружности .
. . 243

251

     Вопросы к главе XII 258

    Приложения 259

§ 76. О родственном соответствии и его применении к решению некоторых задач 259 Вопросы к § 76 265 Добавление. Начертательная геометрия и машинная графика. (А. А. Чекмарев) 266 Список дополнительной литературы 272 ПРЕДИСЛОВИЕ РЕДАКТОРА К ДВАДЦАТЬ ЧЕТВЕРТОМУ ИЗДАНИЮ Учебное пособие соответствует программе, утвержденной Министерством общего и профессионального образования РФ, для машиностроительных, приборостроительных и механико-технологических специальностей втузов. Одним из направлений перестройки высшей школы является усиление самостоятельности, предоставляемой студентам при изучении той или иной дисциплины. При изучении начертательной геометрии этому будет способствовать настоящее издание "Курс начертательной геометрии", а также новое издание "Сборник задач по курсу начертательной геометрии" В.О. Гордона, Ю.Б. Иванова, Т.Е. Солнцевой. Совместное их использование даст студентам возможность не только понять и осмыслить весь курс, уяснить план и ход решения задач, приведенных в задачнике в качестве примеров, но и самостоятельно проверить свои решения, сверив их с помещенными в конце задачника ответами. Для повторения и закрепления изучаемого материала в целях самопроверки к материалу каждого параграфа имеется значительное число вопросов. В конце книги помещено небольшое дополнение, написанное профессором А.А. Чекмаревым "Начертательная геометрия и машинная графика", о применении персональных компьютеров для решения на экране монитора графических задач начертательной геометрии. В настоящем издании указана учебная литература для желающих ознакомиться с различными вариантами изложения разделов программы и с некоторыми дополнительными вопросами начертательной геометрии. В книге указана также литература, относящаяся к машинной графике. Профессор Ю.Б. Иванов ПРЕДИСЛОВИЕ К ВОСЕМНАДЦАТОМУ ИЗДАНИЮ После 14-го издания учебника (1962 г.), пересмотренного и сокращенного, следовали стереотипные выпуски. Настоящее издание книги значительно переработано, прежде всего с целью согласования с пособием "Сборник задач по курсу начертательной геометрии" В. О. Гордона, Ю. Б. Иванова и Т. Е. Солнцевой. В связи с этим из учебника исключен соответствующий материал -- задачи для самостоятельного решения и некоторые примеры построений, включенные в упомянутый выше сборник. В этом же сборнике приведены ответы на все задачи в графической форме. Учтены также пожелания, высказанные по содержанию и объему учебника. В основу учебника, как и прежде, положена программа, утвержденная Министерством высшего и среднего специального образования СССР для машиностроительных, приборостроительных и механико-технологических специальностей втузов. Поэтому в книге изложены "Система ортогональных проекций" и "Аксонометрия". Пожелания о сокращении объема с тем, чтобы он соответствовал времени, отводимому по учебному плану на курс начертательной геометрии, конечно, не могли быть удовлетворены за счет программного материала. Но такое сокращение было в поле зрения автора. В то же время переработка книги позволила ввести местами новый материал для более полного изложения "некоторых разделов программы и обоснования отдельных положений. Значительно увеличено число вопросов для повторения изучаемого материала и самопроверки. Обозначения, принятые в книге при первом издании (1936 г.), в основном введены еще в XIX столетии отечественными учеными Н. И. Макаровым и В. И. Кур-дюмовым и применяются, как показывает опыт, в учебной работе и в учебной литературе без каких-либо осложнений. Эти обозначения просты, выразительны и не загромождают чертежи. Очевидно, на сегодняшний день нельзя указать систему обозначений, которая могла бы считаться апробированной в качестве обладающей безусловными достоинствами для внедрения ее в учебную практику. Если "старым" обозначениям присущи некоторые недостатки, то не меньшие, а подчас и значительно большие недостатки присущи так называемым "новым" системам. Как и в предыдущих изданиях (начиная с 14-го), в книге помещена таблица для сопоставления обозначений в учебной литературе сегодняшнего дня. В этом издании указана литература, преимущественно учебная, для желающих ознакомиться с вариантами изложения разделов программы и некоторыми дополнительными вопросами. В работе по подготовке книги к переизданию автором учтены советы и замечания А. В. Бубенникова, Ю. Б. Иванова, Л. А. Ольховского и др., которым автор приносит сердечную благодарность. Автор благодарен В. П. Панченко за помощь в подготовке чертежей. Хотя работа над книгой со времени кончины М. А. Семенцова-Огиевского (1950 г.) выпала на мою долю и книга с тех пор претерпела ряд существенных изменений и дополнений, наши имена стоят рядом в заглавии в память о нашей долголетней дружбе и совместной работе. В. Гордон ПРИНЯТЫЕ ОБОЗНАЧЕНИЯ Точки в пространстве -- прописными буквами латинского алфавита A, B, С, ..., а так же цифрами. Последовательность точек (и других элементов) -- подстрочными индексами·. a1, А2, А3... Линии в пространстве - по точкам, определяющим линию, и строчными буквами ла- тинского алфавита a, b, c, ...

    Углы -- строчными буквами греческого алфавита , , ,  и .

    Плоскости -- строчными буквами греческого алфавита , , ,  и .

Поверхности -- римскими цифрами, а также прописными буквами русского алфавита: цилиндр -- Ц, конус -- К, сфера -- Сф., ... Плоскости проекций -- строчной буквой греческого алфавита . Произвольная плоскость -- , горизонтапьная -- , фронтальная -- 2, профильная (или дополнительная) -- Пз, любая дополнительная -- 4, 5,... Оси проекций -- строчными буквами х, у, z или (при введении дополнительных пло- скостей) 2/, 2/3, 2/5, ... Начапо координат - прописной буквой О. Проекции точек:: на произвольную плоскость  -- A0, Bo, Co,...; на горизонтальную плоскость  --A', B', С',...; на фронтальную плоскость 2 -- A", В", C"...; на профильную плоскость Пз -- А'", В'", C'" .. на дополнительную плоскость 4 -- АIV , BIV , CIV ... 10. Проекции линий -- по проекциям точек, определяющих линию; кроме того: горизонтапьная линия -- буквой h; фронтальная линия -- буквой f; профильная линия -- буквой р. 11. Обозначение плоскостей, заданных следами: горизонтальный след плоскости  -- h0a; фронтальный след плоскости  -- foa; профильный след плоскости  -- oa В тех случаях, когда плоскость не требует наименования, обозначение следов упрощено - ho, fo, po". Для проецирующих плоскостей задается проекция плоскости: ' -- горизонтально-проецирующая плоскость; " -- фронтально-проецирующая плоскость;  '"-- профильно-проецирующая плоскость. Точки схода следов плоскости -- прописными буквами , ,  с индексом соответствую-щей плоскости: , У, . 12. При преoбaзoвaнии эпюра (чертежа) вращением (или совмещением) в новом поло- жении точки -- 0x01   graphic плоскости -- 0x01   graphic следов плоскости -- 0x01  graphic . После второго вращения соответственно . 0x01 graphic Новое положение точки схода следов при вращении плоскости a -- 0x01 graphic 13. Плоскость проекций (картинная плоскость) в аксонометрии -- буквой а, а проекция любого элемента на эту плоскость -- с индексом а. ВВЕДЕНИЕ В число дисциплин, составляющих основу инженерного образования, входит начертательная геометрия. Предметом начертательной геометрии является изложение и обоснование способов построения изображений пространственных форм на плоскости и способов решения задач геометрического характера по заданным изображениям этих форм1). Изображения, построенные по правилам, изучаемым в начертательной геометрии, позволяют представить мысленно форму предметов и их взаимное расположение в пространстве, определить их размеры, исследовать геометрические свойства, присущие изображаемому предмету. Начертательная геометрия, вызывая усиленную работу пространственного воображения, развивает его. Наконец, начертательная· геометрия передает ряд своих выводов в практику выполнения технических чертежей, обеспечивая их выразительность и точность, а следовательно; и возможность осуществления изображенных предметов. Правила построения изображений, излагаемые в начертательной геометрии, основаны на методе проекций 2). Рассмотрение метода проекций начинают с построения. проекций точки, так как при построении изображения любой пространственной формы рассматривается ряд точек, принадлежащих этой форме. *) Пространственные формы можно изображать не только на плоской, но и на-какой-либо другой поверхности, например цилиндрической или сферической, что изучается в специальных отделах начертательной геометрии. 2) В основе этого слова латинское projectio -- бросание вперед, вдаль (от projicere-- бросить, выставить вперед). В дальнейшем изложении в смысле "построить проекции" будет применяться слово "проецировать", а не слово "проектировать", как это имело место раньше. ГЛАВА I ОБРАЗОВАНИЕ ПРОЕКЦИЙ § 1. ПРОЕКЦИИ ЦЕНТРАЛЬНЫЕ Для получения центральных проекций (центральное проецирование) надо задаться плоскостью проекций и центром проекций -- точкой, не лежащей в этой плоскости (рис. 1: плоскость 0 и точка S). Взяв некоторую точку А и проведя через S и А прямую линию до пересечения ее с пл. 0, получаем точку А°. Так же поступаем, например, с точками В и С. Точки А°, В°, С° являются центральными проекциями точек А, В, С на пл. 0: они получаются в пересечении проецирующих прямых (или, иначе, проецирующих лучей) SA, SB, SC с плоскостью проекций'). 0x01 graphic Если для некоторой точки D (рис. 1) проецирующая прямая окажется параллельной плоскости проекций, то принято считать, что они пересекаются, но в бесконечно удаленной точке: точка D также имеет свою проекцию, но бесконечно удаленную (D"). Не изменяя положения пл. 0 и взяв новый центр S1 (рис. 2), получаем новую проекцию точки А -- точку A°1 Если же взять центр S2 на той же проецирующей прямой SA, то проекция А° останется неизменной (А°" А°). Итак, при заданных плоскости проекций и центре проекций (рис. 1) можно построить проекцию точки; но имея проекцию (например, А°), нельзя по ней определить положение самой точки А в пространстве, так как любая точка проецирующей прямой SA проецируется в одну и ту же точку; для единственного решения, очевидно, необходимы дополнительные условия. Проекцию линии можно построить, проецируя ряд ее точек (рис. 3). При этом проецирующие прямые в своей совокупности образуют коническую поверхность 2) *) Центр проекций называют также полюсом проекций, а центральную проекцию -- полярной. ) В связи с этим центральные проекции также называют коническими. Понятие о конической поверхности см. в стереометрии. 10 или могут оказаться в одной плоскости (например, при проецировании прямой ли-нии, не проходящей через центр проекций, или ломаной и кривой, все точки которых лежат в плоскости, совпадающей с проецирующей). 0x01 graphic 0x01 graphic Рис. 3 Рис. 4 Очевидно, проекция линии получается в пересечении проецирующей поверхности с плоскостью проекций (рис. 3). Но, как показывает рис. 4, проекция линии не определяет проецируемую линию, так как на проецирующей поверхности можно разместить ряд линий, проецирующихся в одну и ту же линию на плоскости проекций. От проецирования точки и линии можно перейти к проецированию поверхности и тела.

    § 2. ПРОЕКЦИИ ПАРАЛЛЕЛЬНЫЕ

Рассмотрим теперь способ проецирования, называемый параллельным. Условимся считать все проецирующие прямые параллельными. Для их проведения должно быть указано некоторое направление (см. стрелку на рис. 5). Так построенные проекции называются параллельными. Параллельное проецирование можно рассматривать как частный случай центрального, если принять, что центр проекций бесконечно удален. Следовательно, параллельной проекцией точки будем называть точку пересечения проецирующей прямой, проведенной параллельно заданному направлению, с плоскостью проекций. 0x01 graphic 0x01 graphic Рис. 5 Рис. 6 Чтобы получить параллельную проекцию некоторой линии, можно построить проекции ряда ее точек и провести через эти проекции линию (рис. 6). При этом проецирующие прямые в своей совокупности образуют цилиндрическую поверхность; поэтому параллельные проекции также называют цилиндрическими1). Понятие о цилиндрической поверхности см. в стереометрии.

    11

В параллельных проекциях, так же как и в центральных: 1) для прямой линии проецирующей поверхностью в общем случае служит плоскость, и поэтому прямая линия вообще проецируется в виде прямой; 2) каждая точка и линия в пространстве имеют единственную свою проекцию; 3) каждая точка на плоскости проекций может быть проекцией множества точек, если через них проходит общая для них проецирующая прямая (рис. 5: точка D° служит проекцией точек D, D1, D2); 4) каждая линия на плоскости проекций может быть проекцией множества линий, если они расположены в общей для них проецирующей плоскости (рис. 7: отрезок А°В° служит проекцией отрезков АВ и А1В1 и отрезка А2В2 плоской кривой линии); для единственного решения необходимы дополнительные условия; 5) для построения проекции прямой достаточно спроецировать две ее точки и через полученные проекции этих точек провести прямую линию; 0x01 graphic 0x01 graphic Рис. 7 6) если точка принадлежит прямой, то проекция точки принадлежит проекции этой прямой (рис. 8: точка К принадлежит прямой, проекции К° принадлежит проекции этой прямой). Кроме перечисленных свойств для параллельных проекций можно указать еще следующие: 7) если прямая параллельна направлению проецирования (прямая АВ на рис. 8), то проекцией прямой (и любого ее отрезка) является точка (A°, она же В°); 8) отрезок прямой линии, параллельной плоскости проекций, проецируется на эту плоскость в натуральную свою величину (рис. 8: CD = C°D°, как отрезки параллельных между параллельными). В дальнейшем будут рассмотрены еще некоторые свойства параллельных проекций, показывающие, какие натуральные соотношения в рассматриваемых предметах сохраняются в проекциях этих предметов. Применяя приемы параллельного проецирования точки и линии, можно строить параллельные проекции поверхности и тела. Параллельные проекции делятся на косоугольные и прямоугольные. В первом случае направление проецирования составляет с плоскостью проекций угол, не равный 90°; во втором случае проецирующие прямые перпендикулярны к пл. пр. При рассмотрении параллельных проекций следовало бы представить себя удаленным на бесконечно большое расстояние от изображения. На самом же деле предметы и их изображения рассматриваются с конечного расстояния; при этом лучи, идущие в глаз зрителя, образуют поверхность коническую, а не цилиндрическую. Следовательно, более естественное изображение получается (при соблюдении определенных условий) центральным проецированием, а не параллельным. Поэтому, когда требуется, чтобы изображение давало такое же зрительное впечатление, как и самый предмет, применяют перспективные проекции, в основе которых лежит центральное проецирование 1). 1) Перспективные проекции в программу данного курса не входят. Интересующихся отсылаем к книгам: Глаголев Н. А. Начертательная геометрия.- М: Гостехиздат, 1953; Добряков А. И. Курс начертательной геометрии.--М.: ГТТИ, 1931. 12 Но сравнительно большая простота построения и свойства параллельных проекций, обеспечивающие сохранение натуральных размерных соотношений, объясняют широкое применение параллельного проецирования, несмотря на условность, указанную выше. § 3. МЕТОД МОНЖА Сведения и приемы построений, обусловливаемые потребностью в плоских изображениях пространственных форм, накапливались постепенно еще с древних времен. В течение продолжительного периода плоские изображения выполнялись преимущественно как изображения наглядные. С развитием техники первостепенное значение приобрел вопрос о применении метода, обеспечивающего точность и удобоизмеримость изображений, т. е. возможность точно установить место каждой точки изображения относительно других точек или плоскостей и путем простых приемов определить размеры отрезков линий и фигур. Постепенно накопившиеся отдельные правила и приемы построений таких изображений были приведены в систему и развиты в труде французского ученого  о ц ж а, изданном в 1799 г. под названием "Geometric' descriptive". Гаспар Монж (1746--1818) вошел в историю как крупный французский геометр конца XVIII и начала XIX вв., инженер, общественный и государственный деятель в период революции 1789--1794 гг. и правления Наполеона I, один из основателей знаменитой Политехнической школы в Париже, участник работы по введению метрической системы мер и весов. Будучи одним из министров в революционном правительстве Франции, Монж много сделал для ее защиты от иностранной интервенции и для победы революционных войск. Монж не сразу получил возможность опубликовать свой труд с изложением разработанного им метода. Учитывая большое практическое значение этого метода для выполнения чертежей объектов военного значения и не желая, чтобы метод Монжа стал известен вне границ Франции, ее правительство запретило печатание книги. Лишь в конце XVIII столетия это запрещение было снято. После реставрации Бурбонов Гаспар Монж подвергся гонению, вынужден был скрываться и кончил свою жизнь в нищете. Изложенный Мон-жем метод -- метод параллельного проецирования (причем берутся прямоугольные проекции на две взаимно перпендикулярные плоскости проекций) -- обеспечивая выразительность, точность и удобоизмеримость изображений предметов на плоскости, был и остается основным методом составления технических чертежей. Слово прямоугольный часто заменяют словом ортогональный, образованным из слов древнегреческого языка, обозначающих "прямой" и "угол". В дальнейшем изложении термин ортогональные проекции будет применяться для обозначения системы прямоугольных проекций на взаимно перпендикулярных плоскостях. В данном курсе преимущественно рассматриваются прямоугольные проекции. В случае применения параллельных косоугольных проекций это будет каждый раз оговариваться. Начертательная геометрия (н. г.) стала предметом преподавания в нашей стране с 1810 г., когда в только что основанном Институте корпуса инженеров путей сообщения начались занятия наряду с другими дисциплинами учебного плана и по начертательной геометрии. Это было вызвано все возрастающим ее практическим значением. В Институте корпуса инженеров путей сообщения1) протекала преподавательская деятельность окончившего этот институт в 1814 г. Якова Александровича Севастьянова (1796--1849), с именем которого связано появление в России первых сочинений по н. г., сначала переводных с французского языка, а затем первого оригинального труда под названием "Основания начертательной геометрии" (1821 г.), в основном посвященного изложению метода ортогональных проекций. 1) Теперь Петербургский государственный университет путей сообщения. Лекции Я. А. Севастьянов читал на русском языке, хотя преподавание в те годы вообще велось на французском языке. Тем самым Я. А. Севастьянов положил начало преподаванию и установлению терминологии в н. г. на родном языке. Еще при жизни Я. А. Севастьянова н. г. вошла в учебные планы ряда гражданских и военных учебных заведений. Крупный след в развитии н. г. в XIX столетии в России оставили Николай Иванович Макаров (1824--1904), преподававший этот предмет в Петербургском технологическом институте, и Валериан Иванович Курдюмов (1853--1904), который, будучи профессором Петербургского института инженеров путей сообщения по кафедре строительного искусства, читал в этом институте курс н. г. В своей практике преподавания В. И. Курдюмов приводит многочисленные примеры применения н. г. к решению инженерных задач. Деятельностью и трудами В. И. Курдюмова как бы завершился почти столетний период развития н. г. и ее преподавания в России. В этот период наибольшее внимание было уделено организации пртподавания, созданию трудов, предназначенных служить учебниками, разработке улучшенных приемов и способов решения ряда задач. Это были существенные и необходимые моменты в развитии преподавания н. г.; однако ее научное развитие отставало от достижений в области методики изложения предмета. Лишь в трудах В. И. Курдюмова теория получила более яркое отражение. Между тем в некоторых зарубежных странах в XIX столетии н. г. уже получила значительное научное развитие. Очевидно, для ликвидации отставания и для дальнейшего развития научного содержания н. г. необходимо было расширить ее теоретическую основу и обратиться  исследовательской работе. Это можно видеть в трудах и деятельности Евграфа Степановича Федорова (1853 -- 1919), знаменитого русского ученого, геометра-кристаллографа, и Николая Алексеевича Рынина (1877--1942), которые, уже в последние годы перед Великой Октябрьской социалистической революцией обратились к развитию начертательной геометрии как науки. К настоящему времени начертательная геометрия как наука получила значительное развитие в трудах советских ученых Н.А.Глаголева (1888--1945), А. И. Д обряк ова (1895-1947), Д. Д. Морду  аи-Бо л товск ого (1876-1952), М. Я. Громова (1884-1963), С. М. Колотова (1885-1965), Н. Ф. Четверухина (1891-1974), И. И. Котова (1909-1976) и многих других1).

    ВОПРОСЫ К ГЛАВЕ 1

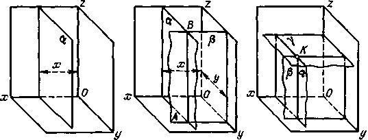
1. Как строится центральная проекция точки? 2. В каком случае центральная проекция прямой линии представляет собой точку? 3. В чем заключается способ проецирования, называемый параллельным? 4. Как строится параллельная проекция прямой линии? 5. Может ли параллельная проекция прямой линии представлять собой точку? 6. Если точка принадлежит данной прямой, то как взаимно располагаются их проекции? 7. В каком случае в параллельной проекции отрезок прямой линии проецируется в натуральную свою величину? 8. Что такое "метод Монжа"? 9. Как расшифровывается слово "ортогональный"? 1) Интересующихся более подробными сведениями отсылаем к 6--13-му изданиям или, например, к книге: Бубенников А. В., Громов М. Я. Начертательная геометрия.-- М.: Высшая школа, 1965. ГЛАВА II ТОЧКА И ПРЯМАЯ § 4. ТОЧКА В СИСТЕМЕ ДВУХ ПЛОСКОСТЕЙ ПРОЕКЦИЙ 1,2 Выше (§ 2) было сказано, что проекция точки не определяет положения точки в пространстве, и чтобы, имея проекцию точки, установить это положение, требуются дополнительные условия. Например, дана прямоугольная проекция точки на горизонтальной плоскости проекций и указано удаление этой точки от плоскости числовой отметкой; плоскость проекций принимается за "плоскость нулевого уровня", и числовая отметка считается положительной, если точка в пространстве выше плоскости нулевого уровня, и отрицательной, если точка ниже этой плоскости. На этом основан метод проекций с числовыми отметками 1). В дальнейшем изложении определение положения точек в пространстве будет производиться по их прямоугольным проекциям на двух и более плоскостях проекций. На рис. 9 изображены две взаимно перпендикулярные плоскости. Примем их за плоскости проекций. Одна из них, обозначенная буквой 1, расположена горизонтально; другая, обозначенная буквой 2,-- вертикально. Эту плоскость называют фронтальной плоскостью проекций, пл. 1 называют горизонтальной плоскостью проекций. Плоскости проекций  и 2 образуют систему 1 ,2. Линия пересечения плоскостей проекций называется осью проекций. Ось проекций разделяет каждую из плоскостей 1 и 2 на полуплоскости. Для этой оси будем применять обозначение  или обозначение в виде дроби 2/1. Из четырех двугранных углов, образованных плоскостями проекций, считается первым тот, грани которого на рис. 9 имеют обозначения 1 и 2. На рис. 10 показано построение проекций некоторой точки А в системе 1, 2. Проведя из А перпендикуляры к  и 2, получаем проекции точки А: горизонтальную, обозначенную А', и фронтальную, обозначенную А". Проецирующие прямые, соответственно перпендикулярные к 1 и 2, определяют плоскость, перпендикулярную к плоскостям и к оси проекций. Эта плоскость в пересечении с  и 2 образует две взаимно перпендикулярные прямые А'АХ и А"АХ, пересекающиеся в точке Ах на оси проекций. Следовательно, проекции неко- 0x01 graphic 0x01 graphic рис.9 рис.10 1) Метод проекций с числовыми отметками в программу излагаемого курса не входит. Интересующихся отсылаем к книгам по начфтательной геометрии для строительных и архитектурных специальностей. 15 торой точки получаются расположенными на прямых, перпендикулярных к оси проекций и пересекающих эту ось в одной и той же точке. Если даны проекции А' и А" некоторой точки А (рис. 11), то, проведя перпендикуляры -- через А' к пл. 1 и через А" к пл. 2 -- получим в пересечении этих перпендикуляров определенную точку. Итак, две проекции точки вполне определяют ее положение в пространстве относительно данной системы плоскостей проекций. 0x01 graphic 0x01 graphic 0x01 graphic Рис. 11 Рис. 12 Повернув пл.  вокруг оси проекций на угол 90° (как это показано на рис. 12), получим одну плоскость -- плоскость чертежа; проекции А" и А' расположатся на одном перпендикуляре к оси проекций (рис. 13) -- на линии связи. В результате указанного совмещения плоскостей , и 2 получается чертеж, известный под названием эпюр1) (эпюр Монжа). Это чертеж в системе 1,2 (или в системе двух прямоугольных проекций). Перейдя к эпюру, мы утратили пространственную картину расположения плоскостей проекций и точки. Но, как увидим дальше, эпюр обеспечивает точность и удобоизмеримость изображений при значительной простоте построений. Чтобы представить по нему пространственную картину, требуется работа воображения: например, по рис. 13 надо представить картину, изображенную на рис. 10. Так как при наличии оси проекций положение точки А относительно плоскостей проекций 1и 2 установлено, то отрезок А'АХ выражает расстояние точки А от плоскости проекций 2, а отрезок А "Ах -- расстояние точки А от плоскости проекций 1. Так же можно определить расстояние точки А от оси проекций. Оно выражается гипотенузой треугольника, построенного по катетам А'АХ и А"А* (рис. 14): откладывая на эпюре отрезок А"А, равный А'АХ, перпендикулярно к А"АХ, получаем гипотенузу ААХ, выражающую искомое расстояние. Следует обратить внимание на необходимость проведения линии связи между проекциями точки: только при наличии этой линии, взаимосвязывающей проекции, получается возможность установить положение определяемой ими точки. 0x01 graphic Рис. 14 Условимся в дальнейшем эпюр Монжа, а также проекционные чертежи, в основе которых лежит метод Монжа (см. § 3), называть одним словом -- чертеж: и понимать это только в указанном смысле. В других случаях применения слова "чертеж" оно будет сопровождаться соответствующим определением (перспективный чертеж, аксонометрический чертеж и т. п.). 1) Ёриге (франц.) -- чертеж, проект. Иногда вместо "эпюр" пишут и произносят "эпюра", что соответствует не произношению слова epure, а женскому роду этого слова во французском языке. 16
В ряде построений и при решении задач оказывается необходимым вводить в систему 1; 2 и другие плоскости проекций. Известно, что в практике составления чертежей, например машин и их частей, чертеж преимущественно содержит не два, а большее число изображений. Рассмотрим введение в систему ^ 2 еще одной плоскости проекций (рис. 15): обозначенная буквой 3 плоскость перпендикулярна и к 1 и к 2. Ее называют профильной плоскостью проекций. Так же, как и пл. 2, пл. 3 расположена вертикально. Помимо оси проекций х, появляются еще оси z и у, перпендикулярные к оси х. Буквой О обозначена точка пересечения всех трех осей проекций. Так как ось х% 3, ось y% 2, ось z% 3 то в точке О совпадают проекции оси х на пл. 3, оси у на пл. 2 и оси z на пл. . На рис. 15 показана схема совмещения плоскостей 1, 2 и 3 в одну плоскость. Для оси у дано два положения (рис. 17). Наглядное изображение на рис. 16 и чертеж на рис. 18 содержат горизонтальную, фронтальную и профильную проекции некоторой точки A. 0x01 graphic 0x01 graphic 0x01 graphic Рис. 15 Рис. 16 Рис.17 0x01 graphic 0x01 graphic 0x01 graphic Рис. 18 Рис. 19 Рис. 20 Горизонтальная и фронтальная проекции (А1 и А") расположены на одном перпендикуляре к оси х- на линии связи А"А', фронтальная и профильная проекции (А" и А") -- на одном перпендикуляре к оси z - на линии связи А"А". Построение профильной проекции по фронтальной и горизонтальной показано на рис. 17. Можно воспользоваться или дутой окружности, проводимой из точки О, или биссектрисой угла уОу. Расстояние точки А от пл.  измеряется на чертеже отрезком А"АХ или отрезком А'"Ау, расстояние от 2 -- отрезком А'АХ или отрезком А'"Аг, расстояние от 3 -- отрезком А'Ау или отрезком А"Аг. Поэтому проекцию А'" можно построить и так, как показано на рис. 18, т. е. откладывая на линии связи проекций А" и А" от оси z вправо отрезок, равный А'АХ. Такое построение предпочтительно. Расстояние от точки А до оси х (рис. 19) измеряется в пространстве отрезком ААХ. Но отрезок ААХ равен отрезку A'"O (см. с. 12, пункт 8). Поэтому для определения расстояния от точки А до оси х на чертеже (рис. 20) надо взять отрезок 1Х. 17 Аналогично, расстояние от точки А до оси у выражается отрезком 1у и расстояние от точки А до оси z -- отрезком /z (рис. 20). Итак, расстояния точки от плоскостей проекций и от осей проекций могут быть измерены непосредственно, как определенные отрезки на чертеже. При этом должен быть учтен его масштаб. Рассмотрим примеры построения третьей проекции точки по двум заданным. Пусть (рис. 21) точка В задана ее фронтальной и горизонтальной проекциями. Введя ось z (рис. 22: 0x01 graphic 0x01 graphic 0x01 graphic Рис. 21 Рис. 22 Рис. 23 расстояние ОВХ произвольно, если нет каких-либо условий) и проведя через В" линию связи, перпендикулярную к оси , откладываем на ней вправо от этой оси отрезок B'"B-, равный В'ВХ. На рис. 23 построена проекция С' по заданным проекциям С" и С'" (ход построения указан стрелками). ВОПРОСЫ К §§ 4-5 1. Что такое "система ·, 2" и как называются плоскости проекций  и .,? 2. Что называется осью проекций? 3. Как получается чертеж точки в системе ,, ..? 4. Что такое "система ·, .%, Яэ" и как называется плоскость проекций ,? 5. Что такое "линия связи"? 6. Как доказывается, что чертеж, содержащий две связанные между собой проекции в виде точек, выражает некоторую точку? 7. Как строится профильная проекция точки по ее фронтальной и горизонтальной проекциям? § 6. ОРТОГОНАЛЬНЫЕ ПРОЕКЦИИ И СИСТЕМА ПРЯМОУГОЛЬНЫХ КООРДИНАТ Модель положения точки в системе л1г 2, 3 (рис. 16) аналогична модели, которую можно построить, зная прямоугольные координаты 1) этой точки, т. е. числа, выражающие ее расстояния от трех взаимно перпендикулярных плоскостей -- плоскостей координат. Прямые, по которым пересекаются плоскости координат, называются осями координат. Точка пересечения осей координат называется началом координат и обозначается буквой О 2). Для осей координат будем применять обозначения, показанные на рис. 16. Плоскости координат в своем пересечении образуют восемь трехгранных углов, деля пространство на восемь частей -- восемь октантов 3). На рис. 16 изображен один из октантов. Показано образование отрезков, определяющих координаты некоторой точки А: из точки А проведены перпендикуляры к каждой из плоскостей 1) Иначе -- "декартовы координаты". Система координат Декарта может быть прямоугольной и косоугольной; здесь рассматривается прямоугольная система. Декарт (1596--1650) - французский математик и философ. 2) Начальная буква латинского слова "origo" -- начало. 3) Octo (лат.) -- восемь. 18 координат. Первая координата точки А, называемая ее абсциссой 1), выразится числом, полученным от сравнения отрезка АА"' (или равного ему отрезка ОАХ на оси х) с некоторым отрезком, принятым за единицу масштаба. Также отрезок АА" (или равный ему отрезок ОАу на оси у) определит .вторую координату точки А, называемую ординатой 2); отрезок АА' (или равный ему отрезок OAZ на оси ) - третью координату, называемую аппликатой 3). При буквенном обозначении координат абсцисса указывается буквой х, ордината -- буквой у, аппликата -- буквой z. Построенный на рис. 16 параллелепипед называют параллелепипедом координат данной точки А. Построение точки по заданным ее координатам сводится к построению трех ребер параллелепипеда координат, составляющих трехзвенную ломаную линию (рис. 24). Надо отложить последовательно отрезки ОАХ, АХА' и А'А или ОАУ, АуА'" и А'"А и т. п., т. е. точку А можно получить шестью комбинациями, в каждой из которых должны быть все три координаты. На рис. 24 для наглядного изображения взята известная из курса черчения средней школы проекция, называемая кабинетной 4). В ней оси х и z взаимно перпендикулярны, а ось у является продолжением биссектрисы угла z. В кабинетной проекции отрезки, откладываемые по оси у или параллельно ей, сокращаются вдвое. 0x01 graphic 0x01 graphic Рис. 25 Рис. 16 показывает, что построение проекций точки сопровождается построением отрезков, определяющих координаты этой точки, если принять плоскости проекций за плоскости координат. Каждая из проекций точки А определяется двумя координатами этой точки; например, положение проекции А' определяется координатами х и у. Положим, дана точка А (7; 3; 5); эта запись означает, что точка А определяется координатами х = 7, у= 3, z = 5. Если масштаб для построения чертежа задан или выбран, то (рис. 25) откладывают на оси х от некоторой точки О отрезок ОАХ, равный 7 единицам, и на перпендикуляре к этой оси, проведенном из точки Ах, отрезки АХА' = 3 ед. и АХА" = 5 ед. Получаем проекции А' и А". Для построения достаточно взять только ось х. Принимая оси проекций за оси координат, можно найти координаты точки по данным ее проекциям. Например, на рис. 18 отрезок ОАХ выражает абсциссу точки А, отрезок АХА' -- ее ординату, отрезок АХА" - аппликату. Если задается лишь абсцисса, то этому соответствует плоскость, параллельная плоскости, определяемой осями у и z. Действительно, такая плоскость является геометрическим местом точек, у которых абсциссы равны заданной величине (рис. 26, плоскость а). ') Abscissa (лат.) - отсеченная, отделенная. 2) Ordinata (лат.) -- от ordinatim ducta (лат.) -- подряд проведенная. 3) Applicata (лат.) -- приложенная. *) Кабинетная проекция относится к числу косоугольных (подробнее см. в § 75). 19 Если задаются две координаты, то этим определяется прямая, параллельная соответствующей координатной оси. Например, имея заданными абсциссу и ординату, получаем прямую, параллельную оси z (на рис. 26 это прямая АВ). Она является линией пересечения двух плоскостей  и , где  -- геометрическое место точек с равными ординатами. Прямая АВ служит геометрическим местом точек, у которых равны между собой абсциссы и равны между собой ординаты. 0x01 graphic 0x01 graphic Рис. 26 Если задаются все три координаты, то этим определяется точка. На рис. 26 показана точка К, полученная в пересечении трех плоскостей, из которых  есть геометрическое место точек по заданной абсциссе,  -- по заданной ординате и  -- по заданной аппликате. Точка может находиться в любом из восьми октантов (нумерацию октантов см. на рис. 27). Следовательно, нужно знать не только расстояние данной точки от той или иной плоскости координат, но и направление, по которому надо это расстояние отложить; для этого координаты точек выражают относительными числами. Мы будем применять для отсчета координат систему знаков, указанную на рис. 27, т. е. будем применять систему координат, называемую "правой". Правая система характеризуется тем, что поворот на 90° "положительного" луча Ох (рис. 27) в сторону "положительного" луча Оу происходит против часовой стрелки (при условии, что мы смотрим на плоскость хОу сверху). В системе, называемой "левой", "положительный" луч Ох направлен от точки О вправо. При изображении тел обычно принимают в качестве плоскостей координат не плоскости проекций, а систему некоторых трех взаимно перпендикулярных плоскостей, непосредственно связанных с данным телом, например грани прямоугольного параллелепипеда, две грани и плоскость симметрии и т. п. Для такой системы координат встречается название "внутренняя". § 7. ТОЧКА В ЧЕТВЕРТЯХ И ОКТАНТАХ ПРОСТРАНСТВА В § 4 было сказано, что плоскости 1 и 2 при пересечении образуют четыре двугранных утла; их называют квадрантами или четвертями пространства. На рис. 28 указан принятый порядок отсчета четвертей. Ось проекций делит каждую из плоскостей 1 и 2 на "полы" (полуплоскости), условно обозначенные 1 и -- 1, 2 и -- 2. Если, например, точка расположена во второй четверти, то горизонтальная проекция получается на -- 1, а фронтальная -- на 2. В дальнейшем изложении за основу для построения чертежа точки в любой из четырех четвертей мы будем брать рисунок по типу 13 (см. с. 16). Считают, что зритель всегда находится в первой четверти (условно -- на бесконечно большом расстоянии от 1 и от 2). Плоскости проекций считают непрозрачными; поэтому видимы только точки, расположенные в первой четверти, а также на полуплоскостях  и 2. 20 На рис. 13 дан чертеж для случая, когда точка расположена в первой четверти (рис. 29). Если точка одинаково удалена от  и 2, то А'АХ = А"АХ. На рис. 30 показана точка В, расположенная во второй четверти, т. е. над -- % и сзади 2 (рис. 29). Точка В ближе к 2, чем к -- ,: на чертеже В'ВХ < В"ВЖ. Там же 0x01 graphic 0x01 graphic 0x01 graphic III Рис. 28 Рис. 29 показана точка С, одинаково удаленная от -! и от 2: проекции С" и С' совпадают между собой. На рис. 31 дан чертеж для случая, когда точка D расположена в третьей четверти. Горизонтальная проекция получается над осью проекций, фронтальная проекция -- под осью проекций. Так как D'DX > D"DX, то точка D расположена от --2 дальше, чем от --. На рис. 32 даны точки  и F, расположенные в четвертой четверти. Точка Е ближе к ,, чем к -- 2 (рис. 29): Е"ЕХ < Е'ЕХ. Точка F одинаково удалена от -- 2 и от ..: F'FX = F"FX. На рис. 33 в системе ,, 2 изображены точки А и В, расположенные симметрично относительно пл. ,. На чертеже (рис. 33, справа) горизонтальные проекции 0x01 graphic 0x01 graphic 0x01 graphic 0x01 graphic Рис. 31 Рис. 33 таких точек совпадают одна с другой, фронтальные же проекции находятся на равных расстояниях от оси проекций: А"АХ = В"ВХ. В практике черчения имеет место применение первой и третьей четвертей пространства. Подробнее см. в § 41. На рис. 27 было показано, что плоскости координат в своем пересечении образуют восемь трехгранных углов -- восемь октантов. Нумерация октантов указана на рис.27. Как видно из рис.28, четверти нумеруются как I--IV октанты. 21 Применяя для отсчета координат точки систему знаков, указанную на рис. 27, получим следующую таблицу:
Знаки координат Знаки координат
 У   У z
I + + + V + +
 + _ + VI -- -- +
III + _ _ VII _ _ _
IV + + - VIII - + -
Например, точка (--20; + 15; --18) находится в восьмом октанте. Совмещение плоскостей производится согласно рис. 34, т. е. пл. 3 отводится против часовой стрелки, если смотреть на пл. ! по направлению от +z к О. 0x01 graphic Рис. 34 На рис. 34 даны также чертежи точек: А, расположенной в первом октанте, и С, расположенной в седьмом октанте; проекции одной и той же точки не могут наложиться одна на другую. Для остальных октантов две или все три (для второго и восьмого октантов) проекции одной и той же точки могут оказаться наложенными друг на друга.

    ВОПРОСЫ К §§ 6-7

1. Что такое прямоугольные декартовы координаты точки? 2. В какой последовательности записываются координаты в обозначении точки? 3. Что такое квадранты или четверти пространства? 4. Что такое октанты? 5. Какие знаки имеют координаты точки, расположенной в седьмом октанте? 6. В чем различие между "правой" и "левой" системами координат? Чем различаются между собой чертежи точек, из которых одна расположена в первой четверти, а другая -- в третьей? § 8. ОБРАЗОВАНИЕ ДОПОЛНИТЕЛЬНЫХ СИСТЕМ ПЛОСКОСТЕЙ ПРОЕКЦИЙ До сих пор мы встречались с двумя системами плоскостей проекций -- п1г 2 и ·, -, 3. В случае необходимости можно образовать и другие системы. Например, введя в систему ^ - некоторую пл. 41 (рис.35), мы получим, помимо системы -, 2 с проекциями А' и А" точки А, еще систему ,, 4 с проекциями А и  той же точки А. Образуется ли при этом также система 2, 4? Нет: плоскости 2 и 4 не перпендикулярны одна к другой.

    22

Пл. 1 входит в обе системы 1, 2 и 1, 4. Поэтому проекция А' точки А (рис. 35) относится и к системе 5 4. При проецировании же точки А на пл. 4 получаем точку  на расстоянии  от пл. 1; равном AA' и А"АХ. 0x01 graphic 0x01 graphic 0x01 graphic Рис. 35 Рис. 36 Рис. 37 На рис. 36 плоскости 1; 2 и 4 показаны совмещенными в одну плоскость --плоскость чертежа; полученный при этом чертеж дан на рис. 37. Помимо оси 2/ 1) введена еще ось 4/1; она выбирается согласно условиям, вытекающим из задания, как это будет показано дальше. Из точки А' проведена перпендикулярно к оси 4/1 линия связи, на которой отложен отрезок , равный отрезку А"АХ, т. е. расстоянию в пространстве от точки А до пл. 1. 0x01 graphic 0x01 graphic 0x01 graphic Рис. 38 Рис. 40 На рис. 38 показан чертеж, в котором помимо системы 5 2 дана еще система 2, 5, т. е. в систему Пц, 2 введена дополнительная пл. 5, перпендикулярная к 2. Теперь в обеих системах (пь 2 и 2, 5) содержится пл. 2. Поэтому сохраняется расстояние точки А именно от пл. 2 и на чертеже отрезок AvAxl должен быть взят равным отрезку А'АХ. Очевидно, плоскость 3 (рис. 15) можно истолковать как дополнительную, проведенную перпендикулярно и к 2, и к nt. Но при этом обычно помимо системы 1; 2 рассматривают еще систему 2, 3. По аналогии с рис. 38 можно было бы придать рис. 22 форму, показанную на рис. 39 слева, где "' = = В'ВХ. Если же использовать вспомогательную прямую по рис. 17 (продолженную биссектрису угла ), то построение принимает вид, указанный на рис. 39 справа. Можно ли по-ступ"ть аналогично при построении, например, проекции  (рис. 37) или  (рис. 38)? Да; это показано на рис. 40 и 41. Но здесь, конечно, угол 45°, построен- 0x01 graphic Рис. 41 1) Это обозначение оси соответствует ранее принятому -- х. При введении новой оси, например 4/1, ее обозначение - xt. 23 ный на рис. 17, не получается. Как видно из чертежей на рис. 40 и 41, надо провести биссектрису угла, образуемого осями 2/ и K4/nt (рис. 40) и осями 2/ и -/5 (рис. 41). Но, как было сказано на с. 23, предпочтительными являются построения, показанные на рис. 39 слева и на рис. 37 и 38. В дальнейшем (§ 33) мы встретимся еще с другими примерами введения дополнительных плоскостей для образования требуемой системы плоскостей проекций.

    § 9. ЧЕРТЕЖИ БЕЗ УКАЗАНИЯ ОСЕЙ ПРОЕКЦИЙ

В дальнейшем изложении наряду с чертежами, содержащими оси проекций, будут применяться чертежи без указания осей. Из сравнения чертежей на рис. 42 следует, что в одном случае положение плоскостей 1 и 2 установлено проведением линии их пересечения и что установлены расстояния точки А от этих плоскостей. На втором же чертеже на рис. 42 вопрос о расстояниях точки А от плоскостей , и 2 отпадает, так как ось проекций отсутствует; рассматривается некоторая точка А, заданная своими проекциями, безотносительно к тому, где находятся плоскости проекций. При этом, конечно, тем большее значение приобретает линия связи проекций, ее направление и правильное проведение. Можно ли, имея чертеж без указания оси проекций, ввести эту ось и тем задать расстояния точки от условно выбранных плоскостей 1 и 2? Да, можно. Вводя ось, надо ее провести обязательно перпендикулярно к линии связи, но безразлично, 0x01 graphic 0x01 graphic Рис. 43 в какой именно точке на этой линии (если не указывается какое-либо условие). При этом положение проекций не изменится. Действительно, проведя ось проекций, мы выбираем некоторое положение двугранного угла ,2 относительно данной точки А (рис. 43). Перенесение оси на чертеже вверх или вниз соответствует параллельному перемещению в пространстве двугранного угла 2 в новое положение (на рис. 43 положение 45) в направлении биссекторной плоскости двугранного угла1), смежного с углом 12. Введение оси проекций (а это делается обычно в соответствии с каким-либо условием) было показано на рис. 37 и 38: оси п3/ 1 и 2/5. Здесь оси были нужны для построения: от них отсчитывались размеры. Вообще, оси, если их рассматривать в первоначальном значении линий пересечения плоскостей проекций, помогают представлению пространственной картины по чертежу. Базы отсчета размеров являются неотъемлемой составляющей технических чертежей; выбор положения баз не является ограниченным и определяется, исходя из необходимости и целесообразности. 1) Биссекторная плоскость двугранного угла -- плоскость, проходящая через ребро двугранного угла и делящая его пополам. Bissektor (лат.) -- надвое рассекающий. 24 На рис. 44 слева показано, как устанавливается разность расстояний точек А и В от плоскостей проекций пь 2 и 3. Чертеж на рис. 44 справа дан с осями проекций. 0x01 graphic 0x01 graphic Рис. 44 В данном примере разность расстояний точек от пл.  определяется отрезком А"1, равным А"АХ -- В"ВХ или А'"3, от пл. 2 -- отрезком В'2, равным В'ВХ -- А'АХ или В'"3, от пл. 3 -- отрезком В"1, равным А"Аг -- В"В2 или А'2.

    ВОПРОСЫ К §§ 8-9

1. Как образуются системы плоскостей проекций? 2. Какому условию должна отвечать плоскость, вводимая в систему ,, ., в качестве дополнительной плоскости проекций? 3. Как строится проекция точки, заданной в системе ·, 2 на m. it.,, перпендикулярнойк пл. ·? 4. Устанавливаются ли расстояния точки от плоскостей проекций при наличии оси проекций? 5. Как следует понимать чертеж точки при отсутствии оси проекций? 6. Какое назначение имеют оси /, и -/5; на рис. 40 и 41? 7. Как устанавливается на чертеже в системе ,, 2 расстояние точки от пл. , и от пл. 2?

    § 10. ПРОЕКЦИИ ОТРЕЗКА ПРЯМОЙ ЛИНИИ

Положим, что даны фронтальные и горизонтальные проекции точек А и В (рис. 45). Проведя через одноименные проекции этих точек прямые линии, мы получаем проекции отрезка АВ -- фронтальную (А"В") и горизонтальную (А'В1)'). Можно ли утверждать, что такой чертеж (рис. 45) выражает именно отрезок прямой линии? Да; если представить себе (рис. 46), что через А'В' и через А"В" проведены проецирующие плоскости (т. е. перпендикулярные соответственно к 1 и к 2), то в пересечении этих плоскостей получается прямая и ее отрезок АВ. При этом точка, заданная своими проекциями на А'В' и на А"В", принадлежит отрезку АВ. На рис. 47 дан чертеж отрезка АВ в системе 1, 2, 3· Проекции А'" и В'" построены так, как это было показано на рис. 18 для одной точки А. Точки А и В находятся на разных расстояниях от каждой из плоскостей ·,, 2 и 3, т. е. прямая АВ не параллельна ни одной из них. При этом ни одна из проекций прямой не параллельна оси проекций и не перпендикулярна к ней. Такая прямая называется прямой общего положения. 25 0x01 graphic 0x01 graphic 0x01 graphic Рис. 45 Рис. 46 Рис. 47 Каждая из проекций меньше самого отрезка: А'В' < АВ, А"В" < АВ, А'"В'" < < АВ. Обозначая углы между прямой и плоскостями 1; 2 и 3 соответственно через 1,  2 и 3, получим А'В' = ABcos  1, А" В" = АВ cos 2, А'" В'" = ABcos 3. Если А'В' = А"В" = А"'В'", то прямая образует с плоскостями проекций равные между собой углы (~ 35°)1); при этом каждая из проекций прямой расположена под углом 45° к соответствующим осям проек-ций или линиям связи между проекциями. Действительно, если (рис. 48) А'В" = А'В' и А'В' = А'"В'", то фигура А"В"В'А' - равнобочная трапеция и В"1 = В'2, откуда В"'3 = А'"3, т. е. угол А'"В"'3 = 45°, а так как фигура А"В"В'"А"' - параллелограмм, то каждый из углов В"А"1 и В'А'2 равен 45°. Как построить на чертеже без осей проекций, например, профильную проекцию отрезка прямой линии? Построение показано на рис. 49, где слева дан исходный чертеж отрезка АВ прямой общего положения, в середине показано применение вспомогательной прямой, проведенной под углом 45°· к направлению линии связи В"В', а справа -- построение в разности расстояний точек А и В от пл. 2, т. е. по отрезку : задавшись положением хотя бы проекции А'" (на линии связи А"А'"), откладываем А'"2 =  и, проведя из точки 2 перпендикуляр до пересечения с линией связи проекций В" и В'", находим положение проекции В'". 0x01 graphic 0x01 graphic Рис. 49 1) Вывод см. в § 13. 26 § 11. ОСОБЫЕ (ЧАСТНЫЕ) ПОЛОЖЕНИЯ ПРЯМОЙ ЛИНИИ ОТНОСИТЕЛЬНО ПЛОСКОСТЕЙ ПРОЕКЦИЙ Прямая линия может занимать относительно плоскостей проекций особые (иначе, частные) положения. Рассмотрим их по следующим двум признакам: А. Прямая параллельна одной плоскости проекций. Б. Прямая параллельна двум плоскостям проекций. В первом случае одна проекция отрезка прямой равна самому отрезку. Во втором случае две проекции отрезка равны ему1).

    А. Прямая параллельна одной плоскости проекций

1. Прямая параллельна пл. , (рис. 50). В таком случае фронтальная проекция прямой параллельна оси проекций и горизонтальная проекция отрезка этой прямой равна самому отрезку: А'В'=АВ. Такая прямая называется горизонтальной. Если, например, проекция А"В" совпадает с осью проекций, то отрезок АВ расположен в пл. , 2). 0x01 graphic 0x01 graphic 0x01 graphic Рис. 50 0x01 graphic 0x01 graphic Рис. 51 2. Прямая параллельна пл. 2 (рис. 51). В таком случае ее горизонтальная проекция параллельна оси проекций и фронтальная проекция отрезка этой прямой равна самому отрезку: C"D" = CD. Такая прямая называется фронтальной. Если, например, проекция C'D' совпадает с осью проекций, то это соответствует положению отрезка CD в самой пл. 2. ') Все это, конечно, с учетом масштаба чертежа. 2) На рис. 50 справа дан чертеж без указания оси проекций. То же сделано на рис. 51. 27 3. Прямая параллельна пл. 3 (рис. 52). В таком случае горизонтальная и фронтальная проекции прямой располагаются на одном перпендикуляре к оси проекций Ох и профильная проекция этой прямой равна самому отрезку: E"F" = EF. Такая прямая называется профильной. 0x01 graphic 0x01 graphic 0x01 graphic Рис. 52 Рис. 53 Можно ли считать, что на чертежах, подобных указанным на рис. 50 и 51, изображены отрезки именно прямых линий? Да; доказательство такое же, как для прямой общего положения (рис. 46). Если же на чертеже в системе 5 2 обе проекции перпендикулярны к оси проекций, то проецирующие плоскости, проведенные через E'F и E"F", сливаются в одну и оригиналом может быть не только прямая линия, но и некоторая плоская кривая (рис. 53).

    Б. Прямая параллельна двум плоскостям проекций

1. Прямая параллельна плоскостям 1 и 2 (рис. 54), т. е. перпендикулярна к пл. 3. Проекция на пл. 3 представит собой точку. 2. Прямая параллельна плоскостям , и 3 (рис. 55), т. е. перпендикулярна к пл. 2. Проекция на пл. 3 представляет собой отрезок прямой, равный CD'. 0x01 graphic 0x01 graphic Рис. 54 Рис. 55 Рис. 56 Рис. 57 3. Прямая параллельна плоскостям 2 и 3 (рис. 56), т. е. перпендикулярна к пл. nt. Проекция на пл. 3 представит собой отрезок, параллельный и равный E"F". На рис. 57 дано наглядное изображение положения рассмотренных прямых'). ') Для этих прямых встречается название "проецирующие прямые". 28 0x01 graphic Рис. 58 Рис. 59 Обычно строятся проекции отрезков прямой линии с указанием концевых точек отрезка. Если же по каким-либо причинам показывают некоторую неопределенную часть прямой линии, то практически тоже показывают отрезок линии, но не обозначают концевых точек этого отрезка. При этом можно пользоваться обозначением каждой проекции только одной буквой, относя ее к какой-либо точке прямой (рис. 58): "прямая, проходящая через точку А". Обратим внимание на чертеж слева на рис. 59. Относительно прямой, изображенной на нем, можно сказать лишь то, что она проходит через точку L и параллельна пл. jtj, но в остальном положение этой прямой не определяется. Определенность была бы внесена горизонтальной проекцией, т. е. проекцией на плоскости, по отношению к которой прямая параллельна. Если же мы имеем дело с прямой, заданной двумя своими точками (например, с отрезком прямой, заданным своими концами), то можно точно определить положение этой прямой и в том случае, если не задана ее проекция на плоскости, параллельной этой прямой. Так, например, если дан отрезок АВ прямой (рис. 59, справа), то мы можем установить не только параллельность этой прямой по отношению к пл. -, но и то, что точка A данной прямой более удалена от пл. 2, чем точка В. § 12. ТОЧКА НА ПРЯМОЙ. СЛЕДЫ ПРЯМОЙ На рис. 60 дан чертеж некоторой прямой общего положения, проходящей через точку А. Если известно, что точка В принадлежит этой прямой и что горизонтальная проекция точки В находится в точке В', то фронтальная проекция В" определяется так, как показано на рис. 60. На рис. 61 показано построение точки на профильной прямой. Положим, что задана проекция С" этой точки; надо найти ее горизонтальную проекцию. Построение выполнено при помощи профильной проекции А'"В"' отрезка АВ, взятого на профильной прямой. Ход построения показан стрелками. Сначала определена проекция С", а по ней -- искомая проекция С". Одним из свойств параллельного проецирования является то, что отношение АС А°С° отрезков прямой линии равно отношению их проекций (рис. 62): 0x01 graphic 0x01 graphic 0x01 graphic Рис. 61 Рис. 62 29 как прямые АА°, СС° и ВВ° параллельны между собой. Аналогично, отношение отрезков на проекции прямой линии равно отношению отрезков на этой прямой. Если бы точка делила пополам отрезок прямой, то проекция этой точки также делила бы проекцию отрезка пополам, и наоборот. Из сказанного следует, что на рис. 61 деление проекций А"В" и А'В' точками С" и С' соответствует делению в пространстве отрезка АВ точкой С в том же отношении. Этим можно воспользоваться для более простого построения точки на профильной прямой. Если (как и на рис. 61) на проекции А"В" (рис. 63) задана проекция С", то, очевидно, надо разделить А'В' в том же отношении, в каком точка С" делит проекцию А"В". Проведя из точки А' некоторую вспомогательную прямую, откладываем на ней  = А"С" и 1 -2 = С"В". Проводим прямую В'2 и параллельно ей через точку 1 прямую до пересечения с А'В' в точке С'. Эта точка представляет собой искомую горизонтальную проекцию точки С, принадлежащей отрезку АВ. 0x01 graphic 0x01 graphic 0x01 graphic 0x01 graphic Рис. 63 Рис. 64 Рис. 65 Рис. 66 На рис. 64 дан пример деления отрезка прямой линии в некотором заданном отношении. Отрезок CD разделен в отношении 2:5. Из точки С' проведена вспомогательная прямая, на которой отложено семь (2 + 5) отрезков произвольной длины, но равных между собой. Проведя отрезок D'7 и параллельно ему через точку 2 прямую, получаем точку К', причем С'К': K'D' = 2:5; затем находим К". Точка К делит отрезок CD в отношении 2 :5. На рис. 65 показаны точки  и , в которых прямая, заданная отрезком АВ, пересекает плоскости проекций. Эти точки называются следами: точка  -- горизонтальный след прямой, точка N -- ее фронтальный след. Горизонтальная проекция горизонтального следа (точка М') совпадает с самим следом, а фронтальная проекция этого следа М" лежит на оси проекций. Фронтальная проекция фронтального следа " совпадает с точкой , а горизонтальная проекция ' ' лежит на той же оси проекций. Следовательно, чтобы найти горизонтальный след, надо (рис. 66) продолжить фронтальную проекцию А"В" до пересечения с осью 2/ и через точку М" (фронтальную проекцию горизонтального следа) провести перпендикуляр к оси 2/1 до пересечения с продолжением горизонтальной проекции А'В'. Точка М' -- горизонтальная проекция горизонтального следа; она совпадает с самим следом (= знак совпадения). Для нахождения фронтального следа продолжаем горизонтальную проекцию А'В' до пересечения с 2/1; через точку ' (горизонтальную проекцию фронтального 30 следа) проводим перпендикуляр до пересечения с продолжением фронтальной проекции А"В". Точка N" -- фронтальная проекция фронтального следа; она совпадает с самим следом. По положению точек  и N можно судить, к каким четвертям пространства отнесена данная прямая. На рис. 65 прямая АВ проходит через IV, I и II четверти. Прямая не имеет следа на плоскости проекций  том случае, когда она параллельна этой плоскости. На рис. 67 прямая пересекает не только пл. 1 и 2, но и пл. 3. Точка  -- профильный след прямой, т. е. след на профильной плоскости проекций. Этот след совпадает с его собственной проекцией на пл. 3, а фронтальная и горизонтальная проекции его лежат соответственно на осях z и у. 0x01 graphic 0x01 graphic Рис. 67 В данном случае прямая проходит за точкой  через пятый октант и, встречая далее пл. 2, уходит в шестой октант; прямая из первого октанта выходит в четвертый октант '). Соответствующий чертеж дан на рис. 67 справа. Прямая показана в первом октанте -- проекции М'Р', М"Р" и М'"Р'" и в пятом октанте -- проекции '', "" и "'"'. 0x01 graphic 0x01 graphic Рис. 68 Если плоскости проекций принять за плоскости координат, то у горизонтального следа прямой координата z = 0, у фронтального следа у = 0, у профильного следа  -- 0. Построение следов профильной прямой (рис. 68) может быть выполнено следующим способом (рис. 68, справа). ') Условимся показывать на чертежах сплошными линиями те проекции, которые соответствуют положению отрезка в первой четверти или в первом октанте. 31 Строим профильную проекцию (A'"B'"), определяем положение профильных проекций горизонтального следа (М'") и фронтального следа (N'") и затем находим положение остальных проекций этих следов (последовательность построения на чертеже показана стрелками).

    ВОПРОСЫ К §§ 10-12

1. При каком положении относительно плоскостей проекций прямая называется прямой общего положения? 2. Как доказывается, что чертеж, содержащий две связанные между собой проекции в виде отрезков прямой линии, выражает именно отрезок прямой линии? 3. Как выражается соотношение между проекцией отрезка прямой и самим отрезком? 4. Как расположена прямая в системе 1, 2, 3, если все три проекции отрезка этой прямой равны между собой? 5. Как построить профильную проекцию отрезка прямой общего положения по данным фронтальной и горизонтальной проекциям? 6. Как выполнить построение по вопросу 5 на чертеже без осей проекций? 7. Какие положения прямой линии в системе .-..,., 3 считаются "особыми" (иначе -- "частными")? 8. Как располагается фронтальная проекция отрезка прямой линии, если его горизонтальная проекция равна самому отрезку? 9. Как располагается горизонтальная проекция отрезка прямой линии, если его фронтальная проекция равна самому отрезку? 10. Какое свойство параллельного проецирования касается отношения отрезков прямой линии? 11. Как разделить на чертеже отрезок прямой линии в заданном отношении? 12. Что называется следом прямой линии на плоскости проекций? 13. Какая координата равна нулю: а) для фронтального следа прямой, б) для горизонтального следа прямой? 14. Где располагается горизонтальная проекция фронтального следа прямой линии? 15. Где располагается фронтальная проекция горизонтального следа прямой линии? 16. Может ли быть случай, когда прямая линия в системе ,,·2, 3 имеет следы на каждой из этих плоскостей, сливающиеся в одну точку?
ОТРЕЗКА ПРЯМОЙ ОБЩЕГО ПОЛОЖЕНИЯ И УГЛОВ НАКЛОНА ПРЯМОЙ К ПЛОСКОСТЯМ ПРОЕКЦИЙ  1 и 2 Из рассмотрения левой части рис. 69 можно заключить, что отрезок АВ является гипотенузой прямоугольного треугольника АВ1, в котором один катет равен проекции отрезка (А1 = А°В°), а другой катет равен разности расстояний концов отрезка от плоскости проекций 0. 0x01 graphic Рис. 69 32 Если координаты, определяющие расстояния концов отрезка от плоскости проекций, имеют разные знаки (рис. 69, справа), то надо иметь в виду разность алгебраическую: В1 = ВВ° - (-АА0) = ВВ° + АА°. Угол прямой линии с плоскостью проекций определяется как угол, составленный прямой с ее проекцией на этой плоскости. Этот _ угол входит в тот же прямоугольный треугольник, который строят для определения натуральной величины отрезка. Очевидно, зная по чертежу катеты треугольника, можно его построить в любом месте поля чертежа. На рис. 70 показано построение, примененное Г. Монжем: 0x01 graphic 0x01 graphic Рис. 70 Рис. 71 Рис. 72 от точки 1 отложен отрезок , равный проекции A'ff, и проведена гипотенуза А"У, выражающая натуральную величину отрезка АВ. Угол с вершиной в точке А" равен углу между АВ и пл.  1 На рис. 71 слева длина отрезка АВ и угол, составленный прямой АВ с пл. 1определены из прямоугольного треугольника, построенного на проекции А'В' при втором катете В'В*, равном В"1. АВ = А'В*. На рис. 71 справа длина отрезка и угол, составленный с пл. п2, определены из прямоугольного треугольника, построенного на проекции А"В" (А"А* = А'2). АВ = В"А*. Ограничены ли чем-либо углы . и - для прямой общего положения? Да, каждый из них может быть только острым. Но, кроме того, для прямой общего положения - + - < 90°. Действительно (рис. 72), в прямоугольном треугольнике ""' сумма углов  + - = 90°. Но в треугольниках ""'  ''' при общей гипотенузе "' катет "" больше катета "' и, следовательно, >1. Подставляя в  + 2=90° угол  вместо , получим 1+ 2<90°. Рассмотрим (рис. 71) прямоугольные треугольники А'В'В* и A"B"A*. В каждом из них гипотенуза выражает натуральную величину отрезка, а один из катетов является проекцией этого отрезка. Другой же катет равен разности расстояний концов отрезка от соответствующей плоскости проекций (В'В* - В"1 = разности расстояний от nlt a A"A* = А'2 = разности расстояний от я2). Кроме того, в одном из этих треугольников содержится угол между отрезком и пл. 1 (угол ), в другом -- угол между отрезком и пл. 2 (угол 2). В данном случае нам были известны катеты и мы определяли гипотенузу и угол. Но может быть и такое положение: известны гипотенуза и угол, определить катеты (т. е. даны натуральная величина отрезка и углы, составляемые им с плоскостями проекций; построить проекции этого отрезка). Положим (рис. 73), что AB есть заданный отрезок (на рис. 71 он соответствует гипотенузам A'B* и B"A*). Построим на нем, как на диаметре, окружность. Приняв точку А за вершину, построим угол  (т. е. заданный угол с пл. 1) и прямоугольный треугольник А1В. Из сравнения этого треугольника с треугольником А'В'В* (рис. 71) следует, что катет А1 выражает горизонтальную проекцию отрезка AB,a катет В1 -- разность расстояний концов отрезка АВ от пл. 1.

    В. О. Гордон, М. А. Семенцов-Огиевсшй

33 Построим (рис. 73) также прямоугольный треугольник А2В по той же гипотенузе AB и заданному углу <рг с плоскостью проекций 2 и сравним его с треугольником В"А"А* на рис.71. Очевидно, катет В2 выражает· фронтальную проекцию заданного отрезка, а катет А2 -- разность расстояний концов отрезка от пл. 2. Теперь построим чертеж (рис. 74). Положим, что отрезок надо провести через точку В влево вниз на себя. Отложив на линии связи B"B' от точки В" отрезок В"1, равный В! (см. рис. 73), проведем через точку 1 прямую перпендикулярно к В"В". Засекая эту прямую из точки В" дугой, радиус которой должен равняться фронтальной проекции, т. е. отрезку В2, получим точку А". Чтобы найти горизонтальную проекцию А', можно засечь линию связи. 0x01 graphic 0x01 graphic Рис. 73 Рис. 74 Рис. 75 проведенную через точку А", дугой, радиус которой равен А1 (см. рис. 73). При этом должно получиться А"А' -- = А2. На рис. 74 дано лишь одно положение отрезка. Но может быть еще семь других положений при начальной точке В. Предоставляем читателю изобразить отрезок АВ и в этих положениях. На рис. 75 дан пример определения расстояния от точки А до точки О. Сначала построены проекции искомого отрезка -- А"О" и А'О' (точка О выражена ее проекциями О" и О'). Затем построен треугольник А'О'А*, один катет которого -- проекция А'О', другой -- отрезок А'А* = А"АХ. Искомое расстояние определяется гипотенузой О'А*. Теперь мы можем определить угол, составляемый прямой, равнонаклоненной к плоскостям 1, 2 и 3, с этими плоскостями. Об этом угле говорилось в § 10, и была указана его величина ( ~ 35°). Ее можно определить, если рассмотреть хотя 0x01 graphic 0x01 graphic Рис. 76 Рис. 77 бы рис. 76: проекции А"В" и А'В' равны между собой, и углы А"В"1 и 2А'В' равны каждый 45° (см. § 10). 34 Искомый угол определен из прямоугольного треугольника А'В'В*, в_котором катет '*=. Если принять В"1 равным единице, то А'В' = А"В" = у 2 и угол -"35°15'. Таковы же углы между этой прямой и плоскостями 2 и 3. Если применить то, что было сказано в § 8, т. е. дополнить систему 1, 2 системой 4, 1, выбрав пл. 4% 1 и параллельно заданному на чертеже отрезку прямой линии, то, очевидно, проекция этого отрезка на пл. 4 выразит его натуральную величину и угол с пл.  1. Положим (рис.77), требуется определить натуральную величину отрезка,АВ и угол его с пл.  1. В систему  1 ,  2 введена пл. 4 %  1 так, что  4 II АВ. Возникла дополнительная система  4,  1. В ней АВ \\  4 (ось  4/  1 || А'В1); проекция  выражает натуральную величину отрезка АВ.

    § 14. ВЗАИМНОЕ ПОЛОЖЕНИЕ ДВУХ ПРЯМЫХ

Параллельные прямые. К числу свойств параллельного проецирования относится следующее: проекции двух параллельных прямых параллельны между собой. Если (рис. 78) прямая АВ параллельна прямой CD, то проецирующие плоскости ос и  параллельны между собой и при пересечении этих плоскостей с плоскостью проекций 0 получаются параллельные между собой проекции А°В° и C°D°. Однако, хотя А°В° \\ C°D° (рис. 78), прямые, для которых А°В° и С0D0 являются проекциями, могут быть не параллельны между собой: например, прямая АВ не параллельна прямой C1D1. Из указанного свойства параллельного проецирования следует, что горизонтальные проекции параллельных прямых параллельны между собой, фронтальные проекции параллельны между собой и профильные проекции параллельны между собой. Справедливо ли обратное заключение, т. е. будут ли параллельны две прямые в пространстве, если на чертеже их одноименные проекции попарно параллельны? 0x01 graphic 0x01 graphic Рис. 78 Рис. 79 Рис. 80 Да, если даны параллельные между собой проекции на каждой из трех плоскостей проекций 1, 2 и 3. Но если даны параллельные между собой проекции прямых лишь на двух плоскостях проекций, то этим параллельность прямых в пространстве подтверждается всегда для прямых общего положения и может не подтвердиться для прямых, параллельных одной из плоскостей проекций. Пример дан на рис. 79. Хотя профильные прямые АВ и CD заданы проекциями А'В', А"В" и CD', C"D", между собой параллельными, но самые прямые не параллельны -- это видно из взаимного расположения их профильных проекций, построенных по заданным проекциям. Итак, вопрос был решен при помощи проекций прямых на той плоскости проекций, по отношению к которой данные! прямые параллельны. На рис. 80 показан случай, когда можно установить, что профильные прямые АВ и CD не параллельны между собой, не прибегая к построению третьей 35 проекции: достаточно обратить внимание на чередование буквенных обозначений. Если через данную точку А требуется провести прямую, параллельную данной прямой LM, то (рис. 81, слева) построение сводится к проведению через точку А" прямой, параллельной L"M", и через точку А' прямой, параллельной L'M'. 0x01 graphic 0x01 graphic Рис. 81 В случае, изображенном на рис. 81 справа, параллельные прямые расположены в общей для них проецирующей плоскости, перпендикулярной к пл. ,. Поэтому горизонтальные проекции этих прямых расположены на одной прямой. Пересекающиеся прямые. Если прямые линии пересекаются, то их одноименные проекции пересекаются между собой в точке, которая является проекцией точки пересечения этих прямых. Действительно (рис. 82), если точка К принадлежит обеим прямым АВ и CD, то проекция этой точки должна быть точкой пересечения проекций данных прямых. Заключение о том, что данные на чертеже прямые пересекаются между собой, можно сделать всегда по отношению к прямым общего положения, независимо от того, даны ли проекции на трех или двух плоскостях проекций. Необходимым и достаточным условием является лишь то, чтобы точки пересечения одноименных 0x01 graphic 0x01 graphic 0x01 graphic 0x01 graphic Рис. 82 Рис. 85 проекций находились на одном и том же перпендикуляре к соответствующей оси проекций (рис. 83) или, на чертеже без оси проекций (рис, 84), эти точки оказались бы на линии связи установленного для нее направления. Но если одна из данных прямых параллельна какой-либо из плоскостей проекций, а на чертеже не даны проекции на этой плоскости, то нельзя утверждать, что такие прямые пересекаются между собой, хотя бы и было соблюдено указанное выше условие. Например, в случае, данном на рис. 85, прямые АВ и CD, из которых прямая CD параллельна пл. 3, не пересекаются между собой; это может быть подтверждено построением профильных проекций или применением правила о делении отрезков в данном отношении. 36 Изображенные на рис. 84 пересекающиеся прямые расположены в общей для них проецирующей плоскости, перпендикулярной к пл. я-. Поэтому фронтальные проекции этих прямых расположены на одной прямой. Скрещивающиеся прямые. Скрещивающиеся прямые линии не пересекаются и не параллельны между собой. На рис. 86 изображены две скрещивающиеся прямые общего положения: хотя одноименные проекции и пересекаются между собой, но точки их пересечения не могут быть соединены линией связи, параллельной линиям связи L"L' и М"М', т. е. эти прямые не пересекаются между собой. Прямые, изображенные на рис. 79, 80 и 85, также скрещивающиеся. Как надо рассматривать точку пересечения одноименных проекций скрещивающихся прямых? Она представляет собой проекции двух точек, из которых одна 0x01 graphic принадлежит первой, а другая -- второй из этих скрещивающихся прямых. Например, на рис. 87 точка с проекциями К" и К' принадлежит прямой АВ, а точка с проекциями L" и L' принадлежит прямой CD. Эти точки одинаково удалены от пл. 2, но расстояния их от пл. , различны: точка с проекциями L" и L' дальше от nt, чем точка с проекциями К" и К' (рис. 88). Точки с проекциями ", ' и ", ' одинаково удалены от пл. 1, но расстояния этих точек от пл. 2 различны. Точка с проекциями L" и L', принадлежащая прямой CD, закрывает собой точку с проекциями К" и К' прямой АВ по отношению к пл. ^ соответствующее направление взгляда показано стрелкой у проекции L". По отношению к пл. 2 точка с проекциями " и ' прямой CD закрывает собой точку с проекциями М" и М' прямой АВ; направление взгляда указано стрелкой внизу, у проекции N'. Обозначения проекций "закрытых" точек помещены в скобках1).

    § 15. О ПРОЕКЦИЯХ ПЛОСКИХ УГЛОВ

1. Если плоскость,  которой расположен некоторый угол, перпендикулярна к плоскости проекций, то он проецируется на эту плоскость проекций  виде прямой линии. 2. Если плоскость прямого угла не перпендикулярна к плоскости проекций и хотя бы одна его сторона параллельна этой плоскости, то прямой угол проецируется на нее в виде прямого же угла. Положим, что сторона СВ прямого угла АСВ (рис. 89) параллельна плоскости проекций. В таком случае прямая СВ параллельна Ѱ°. Пусть вторая сторона (АС) прямого угла пересекает свою проекцию А°С° в точке К. Проводим в плоскости проекций через точку К прямую параллельно Ѱ°. Прямая KL также параллель- ') Для точек, принадлежащих скрещивающимся прямым и расположенных на одной и той же проецирующей прямой, встречается название "конкурирующие". 37 на СВ, и угол CKL получается прямым. Согласно теореме о трех перпендикулярах угол C°KL -- также прямой1). Следовательно, и угол А°С°В° -- прямой. Этой теореме о проецировании прямого угла соответствуют две обратные (пп. 3 и 4). 3. Если проекция плоского угла представляет собой прямой угол, то проецируемый угол будет прямым лишь при условии, что по крайней мере одна из сторон этого угла параллельна плоскости проекций. 4. Если проекция некоторого угла, у которого одна сторона параллельна плоскости проекций, представляет собой прямой угол, то проецируемый угол тоже прямой 0x01 graphic Рис. 91 Рис. 92 На основании изложенного можно установить, что углы, изображенные на рис. 90, в пространстве прямые. В каком случае проекции прямого угла на двух плоскостях проекций представляют собой прямые утлы? Это бывает, когда одна сторона прямого угла перпендикулярна к третьей плоскости проекций (тогда другая его сторона параллельна этой плоскости). Призер дан на рис. 91: сторона АС перпендикулярна к 3, сторона ВС параллельна 3. Пользуясь сведениями о·проецировании прямого угла, о дополнении системы я,, 2 системой 4, , (§ 8) и о расположении проекций прямой, параллельной одной из плоскостей проекций (§ 11), мы можем выполнить следующее построение: провести через некоторую точку А прямую так, чтобы она пересекла данную прямую под углом 90°. Решение показано на рис. 92, где слева дано исходное положение, в середине показано образование, кроме си- ') Согласно прямой теореме о трех перпендикулярах: если KL±C°K, то KLJL С К. Согласно обратной теореме: если K.LLCK, то KLJ-C°K. 2) Интересующихся доказательством обратных теорем отсылаем к предыдущим изданиям книги. 38 стемы 1, 2, еще одной системы 4, 1, причем пл. 4%ВС, а справа выполнено построение прямой AKLBC. Так как пл. 4% ВС, что обеспечивается проведением оси 4/1, параллельно B'C', то прямой угол АКВ (или АКС) проецируется на пл. 4 в виде прямого же угла AIVKIVBIV. Построив проекции точки A и прямой BC на пл. 4, проводим AIVKIV % BIV CIV, а затем получаем проекции К' и К" и проекции А'К' и А"К" (ход построения указан стрелками). Можно ли считать, что, построив перпендикуляр АК к прямой BC, мы определили расстояние от А до BC? Нет, мы только построили проекции отрезка АК; ни одна из них не определяет величинц расстояния. Если надо определить величину отрезка АК, т. е. расстояние от A до BC, то надо продолжить построение, применив хотя бы способ, изложенный в § 13. . · 5. Ecли плоскость тупого или острого угла не перпендикулярна к плоскости проекций и хотя бы одна сторона угла параллельна плоскости проекций, то проекция тупого угла на эту плоскость представляет собой тупой угол, а проекция острого угла -- острый угол. Предположим, что прямая СВ (рис. 93) параллельна плоскости проекций. Рассмотрим тупой угол КСВ или острый угол МСВ и проведем в плоскости этого угла прямую CL% СВ. Так как угол LCB-- прямой, то его проекция -- угол LC°B° 0x01 graphic Рис. 93 Рис. 94 представляет собой также прямой угол. Этот угол заключен внутри угла КѰ° и заключает внутри себя угол МѰ°, следовательно, угол КѰ° -- тупой, а угол МѰ° -- острый. Таким образом, проекция угла представляет собой угол с тем же названием (прямой, тупой или острый), что и сам угол, если хотя бы одна сторона угла параллельна плоскости проекций. Вообще же проекция любого угла может представлять собой или острый, или прямой, или тупой угол, в зависимости от положения утла относительно плоскости проекций. 6. Если обе стороны любого угла, параллельны плоскости проекций, то его проекция равна по величине проецируемому углу. Это следует из равенства углов с параллельными и одинаково направленными сторонами. Поэтому, например, угол между прямой АВ (рис. 50, с. 27) и пл. 2 легко определить: это - угол между проекцией А 'В' и осью х; таким же образом угол между CD и пл. 1 (рис. 51) определится как угол между C"D" и осью х, угол между EF (рис. 52) и пл. 2 -- как угол между E"'F'" и осью z. Для прямого угла равенство между его проекцией и самим углом имеет место и тогда, когда лишь одна сторона прямого угла параллельна плоскости проекций. Но для острого или тупого угла, у которого одна сторона параллельна плоскости проекций, проекция угла не может равняться проецируемому углу. При этом проекция острого угла меньше проецируемого угла, а проекция тупого больше проецируемого угла. Пусть (рис.94) угол А 1ВС -- острый и его сторона СВ параллельна пл. 0; Ѱ° || СВ. Пл. , проведенная через точку С перпендикулярно к СВ, перпендикуляр- 39 на к пл. 0, пересекая последнюю по прямой п°, проходящей через С° и перпендикулярной к Ѱ°, Если провести через точку В различные прямые под тем же самым острым углом к прямой СВ, то все эти прямые будут пересекать пл.  в точках, проекции которых расположатся на прямой п°. Положим, что прямые АВ и А1В составляют с прямой СВ равные между собой утлы: " ABC = "А 1ВС. Если при этом АВ параллельна плоскости 0, то" А°В°С°=" ABC. Если же сторона А 1В не параллельна 0, то проекция точки At получится на прямой и° ближе к С°, чем проекция точки А. Следовательно, проекция угла A1BC представляет собой угол, меньший угла А°В°С°, т. е. "А 10°Ѱ < "А1BC 7. Если стороны угла параллельны плоскости проекций или одинаково наклонены к ней. то деление проекции угла на этой плоскости пополам соответствует делению пополам и самого угла в пространстве. 8. Деление угла в пространстве пополам соответствует делению пополам и его проекции только при условии, что стороны угла составляют с плоскостью проекций равные углы'). 9. Если стороны угла одинаково наклонены к плоскости проекций, то угол-проекция не может равняться проецируемому углу. Это (рис. 95) можно устаноэить путем совмещения угла MKN с пл. я„ при вращении вокруг прямой . При этом угол ° окажется внутри угла МК^, а вершины К„ и К° -- на общем перпендикуляре к . 0x01 graphic 0x01 graphic Рис. 95 Рис. 96 10. Проекции острого и тупого углов могут равняться проецируемому углу не только при условии параллельности сторон угла плоскости проекций. Из рис.96 видно, что все углы, например острый угол  и тупой угол MKNit стороны которых соответственно расположены в проецирующих плоскостях  и , имеют своей проекцией угол, равный углу MLN, причем эти углы могут приближаться к 0° и к 180°. Очевидно, среди этих углов может оказаться угол, равный своей проекции. Пример построения такого угла дан в § 38.

    ВОПРОСЫ К §§ 13-15

1. Как построить на чертеже прямоугольные треугольники для определения длины отрезка прямой линии общего положения и ее углов с плоскостями проекций  и -? 2. Каким условиям должны отвечать углы между прямой общего положения и плоскостями проекций , и 2? Какое свойство параллельного проецирования относится к параллельным прямым? ') Интересующихся доказательством положений 7 и 8 отсылаем к предыдущим изданиям книги. 40 4. Можно ли по чертежу двух профильных прямых в системе ,, , определить, параллельны ли между собой эти прямые? 5. Как изображаются в системе я,, лг две пересекающиеся прямые линии? 6. Как следует истолковывать точку пересечения проекций двух скрещивающихся прямых? 7. В каком случае прямой угол проецируется в виде прямого угла? 8. В каком случае проекция тупого или острого угла обязательно является углом с тем же названием (тупой или острый)? 9. Может ли проекция острого или тупого угла, у которого одна сторона параллельна плоскости проекций, равняться самому углу в пространстве? 10. В каком случае деление проекции угла пополам соответствует такому делению самого угла в пространстве? 11. Может ли угол-проекция на некоторой плоскости проекций равняться проецируемому углу, стороны которого составляют с этой плоскостью равные углы? 12. Может ли острый или тупой угол, стороны которого не параллельны плоскости проекций, равняться своей проекции на этой плоскости? ГЛАВА III. ПЛОСКОСТЬ § 16. РАЗЛИЧНЫЕ СПОСОБЫ ЗАДАНИЯ ПЛОСКОСТИ НА ЧЕРТЕЖЕ Положение плоскости в пространстве определяется: а) тремя точками, не лежащими на одной прямой линии, б) прямой и точкой, взятой вне прямой, в) двумя пересекающимися прямыми, г) двумя параллельными прямыми. В соответствии с этим на чертеже плоскость может быть задана: а) проекциями трех точек, не лежащих на одной прямой (рис. 97), б) проекциями прямой и точки, взятой вне прямой (рис. 98), в) проекциями двух пересекающихся прямых (рис.99), г) проекциями двух параллельных прямых (рис. 100). Каждое из представленных на рис. 97--100 заданий плоскости может быть преобразовано в другое из них. Например, проведя через точки А и В (рис. 97) прямую, мы получим задание плоскости, представленное на рис. 98; от него мы можем перейти к рис. 100, если через точку С проведем прямую, параллельную прямой АВ. 0x01 graphic Рис. 97 Рис. 98 Рис. 99 Рис. 100 Рис. 101 Плоскость может быть задана на чертеже и проекциями любой плоской фигуры (треугольника, квадрата, круга и т. д.). Пусть некоторая пл.  определена точками А, В к С (рис. 101). Проведя прямые линии через одноименные проекции этих точек, получим проекции треугольника ABC. Точка D, взятая на прямой АВ, тем самым принадлежит, пл, ; проводя прямую через точку D и через другую точку, заведомо принадлежащую пл.  (например, через точку С), получаем еще одну прямую в пл. . Аналогично могут быть построены прямые, а следовательно, и точки, принадлежащие плоскости, заданной любым из перечисленных выше способов. В дальнейшем мы увидим, что плоскость, перпендикулярная к плоскости проекций, может быть задана прямой, по которой эти плоскости пересекаются между собой. 42

    § 17. СЛЕДЫ ПЛОСКОСТИ

Более наглядно плоскость может быть изображена при помощи прямых, по которым она пересекает плоскости проекций. На рис. 102 дан пример построения таких прямых для случая, когда некоторая пл.  задана двумя пересекающимися прямыми АВ и СВ. Для построения прямой, по которой пл.  пересечет пл. ,, достаточно построить две точки, принадлежащие одновременно плоскостям  и 1. Такими точками служат следы прямых АВ и СВ на пл. 1 т. е. точки пересечения этих прямых с пл. ,. Построив Проекции этих следов и проведя через точки 0x01 graphic Рис. 102 Рис. 103 Рис. 104 ,' и 2 прямую, получим горизонтальную проекцию линии пересечения плоскостей  и 1|. Линия пересечения плоскостей  и 2 определяется фронтальными следами прямых АВ " СВ. Прямые, по которым некоторая плоскость пересекает плоскости проекций, называются следами этой плоскости на плоскостях проекций или, короче, следами плоскости. На рис. 103 изображена пл. о, пересекающая горизонтальную плоскость проекций по прямой, обозначенной h'о и фронтальную плоскость -- по прямой f"о. Прямая h'о называется горизонтальным следом плоскости, прямая f"о -- фронтальным следом плоскости. Если плоскость пересекает ось проекций, то на этой оси получается точка пересечения следов плоскости'). Так, на рис. 103 следы f"о и h'о пересекаются на оси  в точке, обозначенной Ха. След плоскости на плоскости проекций сливается со своей проекцией на этой плоскости. След h'о " hо (рис. 103) сливается со своей горизонтальной проекцией; фронтальная проекция этого следа располагается на оси проекций. След f"о "fо сливается со своей фронтальной проекцией; горизонтальная проекция этого следа располагается на оси проекций. На чертеже плоскость может быть задана проекциями ее следов. Можно ограничиться обозначением только самих следов (рис. 104). Такой чертеж нагляден и представляет удобства при некоторых построениях. При построении следов плоскости точка их пересечения может быть использована для проверки построения: оба следа должны пересекаться между собой в точке на оси проекций (см. рис. 102). Угол между следами на чертеже не равен углу, образованному следами плоскости в пространстве. Действительно, в пересечении следов находится вершина трехгранного угла, ') Для нее встречается название "точка схода следов". 43 две грани которого совпадают с плоскостями проекций (рис. 103). Но сумма двух плоских углов трехгранного угла больше третьего плоского угла. Поэтому угол, образованный следами f"о и h'о на чертеже (рис. 104), всегда больше угла между этими следами в пространстве. Если рассматривать плоскость в системе ль 2, 3, то в общем случае плоскость пересечет каждую из осей проекций (рис. 105: пл. а пересекает оси х, у и z). Такая плоскость называется плоскостью общего положения. След "'"р o называется профильным следом плоскости. Так как точки Х„ , и " лежат соответственно на осях х, у и z, то для построения чертежа плоскости в системе ль 2, 3 достаточно иметь заданными отрезки ОХК OYa и О2„ т. е. знать координаты точек Х„ У" и Z" в системе осей х, у, z. Дело сводится лишь к Одной координате для каждой из этих точек, так как две другие координаты равны нулю. Например, для построения точки . надо знать лишь ее аппликату: абсцисса и ордината этой точки равны нулю. 0x01 graphic 0x01 graphic 0x01 graphic Рис. 105 Рис. 107

    § 18. ПРЯМАЯ И ТОЧКА В ПЛОСКОСТИ. ПРЯМЫЕ ОСОБОГО ПОЛОЖЕНИЯ

Как построить на чертеже прямую линию, лежащую в заданной плоскости? Это построение основано на двух положениях, известных из геометрии. 1) Прямая принадлежит плоскости, если она проходит через две точки, принадлежащие данной плоскости. 2) Прямая принадлежит плоскости, если она проходит через точку, принадлежащую данной плоскости, и параллельна прямой, находящейся в этой плоскости или параллельной ей. Положим, что пл. а (рис. 106) определена двумя пересекающимися прямыми АВ и СВ, а пл.  -- двумя параллельными -- DE и FG. Согласно первому положе- 0x01 graphic Рис. 106 нию прямая, пересекающая прямые, определяющие плоскость, находится в данной плоскости. Отсюда вытекает, что если плоскость задана следами, то прямая принадлежит плоскости, если следы прямой находятся на одноименных с ними следах плоскости (рис. 107).

    44

Положим, что пл.  (рис. 106) определяется точкой А и прямой ВС. Согласно второму положению прямая, проведенная через точку А параллельно прямой ВС, принадлежит 0x01 graphic Положим, что пл.  (рис. 106) определяется точкой А и прямой ВС. Согласно второму положению прямая, проведенная через точку А параллельно прямой ВС, принадлежит пл..у. Отсюда прямая принадлежит плоскости, если она параллельна одному из следов этой плоскости и имеет с другим следом общую точку (рис. 108). Примеры построений на рис. 107 и 108 не должны быть поняты так, что для построения прямой в плоскости надо предварительно строить следы этой плоскости. Это не требуется. Например, на рис. 109 выполнено построение прямой AM в плоскости, заданной точкой А и прямой, проходящей через точку L. Положим, что прямая AM должна быть параллельна пл.  1. Построение начато с проведения проекции А"М" перпендикулярно к линии связи А"А'. По точке М" найдена точка М', и затем проведена проекция А'М'. Прямая AM отвечает условию: она параллельна пл. , и лежит в данной плоскости, так как проходит через две точки (А и М), заведомо принадлежащие этой плоскости. Как построить на чертеже точку, лежащую в заданной плоскости? Для того чтобы сделать это, предварительно строят прямую, лежащую в заданной плоскости, и на этой прямой берут точку. 0x01 graphic 0x01 graphic 0x01 graphic Рис. 109 Рис. 110 Например, требуется найти фронтальную проекцию точки D, если задана ее горизонтальная проекция D' и известно, что точка D должна лежать в плоскости, определяемой треугольником ABC (рис. 110). Сначала строят горизонтальную проекцию некоторой прямой так, чтобы точка D могла оказаться на этой прямой, а последняя была бы расположена в данной плоскости. Для этого проводят прямую через точки А' и ХУ и отмечают точку М', в которой прямая A'D' пересекает отрезок В'С. Построив фронтальную .проекцию М" на В"С", получают прямую AM, расположенную в данной плоскости: эта прямая проходит через точки А и М, из которых первая заведомо принадлежит данной плоскости, а вторая в ней построена. Искомая фронтальная проекция D" точки D должна быть на фронтальной проекции прямой AM. Другой пример дан на рис. 111, В пл, , заданной параллельными прямыми АВ и CD, должна находиться точка К, для которой дана лишь горизонтальная проекция -- точка К'. 45 Через точку К' проведена некоторая прямая, принимаемая в качестве горизонтальной проекции прямой в данной плоскости. По точкам  и F строим Е" на Л*У и F" на C"D". Построенная прямая EF принадлежит пл. , так как проходит через точки  и F, заведомо принадлежащие плоскости. Если взять точку К" на E"F", то точка К окажется в пл. . К числу прямых, занимающих особое положение в плоскости, отнесем горизонтали, фронтали1) и линии наибольшего наклона к плоскостям проекций. Линию наибольшего наклона к пл. , будем называть линией ската плоскости2). Горизонталями плоскости называются прямые, лежащие в ней и параллельные горизонтальной плоскости проекций. Построим горизонталь плоскости, заданной треугольником ABC. Требуется провести горизонталь через вершину А (рис. 112). Так как горизонталь плоскости есть прямая, параллельная пл. 1, то фронтальную проекцию этой прямой получим, проведя А"К" % А"А'. Для построения горизонтальной проекции этой горизонтали строим .точку К' и проводим прямую через точки А' и К'. Построенная прямая АК действительно является горизонталью данной плоскости: эта прямая, лежит в плоскости, так как проходит через две точки, заведомо ей принадлежащие, и параллельна плоскости проекций ,. Теперь рассмотрим построение горизонтали плоскости, заданной следами. Горизонтальный след плоскости есть одна из ее горизонталей ("нулевая" горизонталь). Поэтому построение какой-либо из горизонталей плоскости сводится 0x01 graphic 0x01 graphic Рис. 112 Рис. 113 к проведению в этой плоскости прямой, параллельной горизонтальному следу плоскости (рис. 108, слева). Горизонтальная проекция горизонтали параллельна горизонтальному следу плоскости; фронтальная проекция горизонтали параллельна оси проекций. Фронталями плоскости называются прямые, лежащие в ней и параллельные плоскости проекций п2. Пример построения фронтали в плоскости дан на рис. 113. Построение выполнено аналогично построеншр горизонтали (см. рис. 112). Пусть фронталь проходит через точку А (рис. 113). Начинаем построение с проведения горизонтальной проекции фронтали -- прямой А'К', так как направление ') Наряду с горизонталями и фронталями плоскости можно рассматривать также ее профильные прямые-- прямые, лежащие в данной плоскости и параллельные пл. пэ. Для горизонталей, фронталей и профильных прямых встречается общее название -- линия уровня. Однако такое название отвечает обычному представлению только о горизонтальности. 2) Для линии ската плоскости распространено название "линия наибольшего ската", но понятие "скат" по отношению к плоскости не требует добавления "наибольший)".

    46

этой проекции известно: А'К'±А"А'. Затем строим фронтальную проекцию фрон-тали -- прямую А"К". Построенная прямая действительно является фронталью данной плоскости: эта прямая лежит в плоскости, так как проходит через две точки, заведомо ей принадлежащие, и параллельна пл. 2. Построим теперь фронталь плоскости, заданной следами. Рассматривая рис. 108, справа, на котором изображена пл.  и прямая MB, устанавливаем, что эта прямая - фронталь плоскости. Действительно, она параллельна фронтальному следу ("нулевой" фронтали) плоскости. Горизонтальная проекция фронтали параллельна оси х, фронтальная проекция фронтали параллельна фронтальному следу плоскости. Линиями наибольшего наклона плоскости к плоскостям 1, 2 и 3 называются прямые, лежащие в ней и перпендикулярные или к горизонталям плоскости, или к ее фронталям, или к ее профильным прямым. В первом случае определяется наклон к пл. 1 , во втором - к пл. 2, в третьем - к пл. 3. Для проведения линий наибольшего наклона плоскости можно, конечно, соответственно брать ее следы. Как было сказано выше, линия наибольшего наклона плоскости к пл. 1 называется линией ската плоскости. : Согласно правилам проецирования прямого угла (см. § 15) горизонтальная проекция линии ската плоскости перпендикулярна к горизонтальной проекции горизонтали этой плоскости или к ее горизонтальному следу. Фронтальная проекция линии ската строится после горизонтальной и может занимать различные положения в зависимости от задания плоскости. На рис. 114 изображена линия ската пл. а: ВК%h'о,. Tax как В'К также перпендикулярна к h'о, то "BKB' есть линейный угол 0x01 graphic 0x01 graphic Рис. 114 двугранного, образованного плоскостями  и .. Следовательно, линия ската плоскости может служить для определения угла наклона этой плоскости к плоскости проекций nt. Аналогично, линия наибольшего наклона плоскости к пл. 2 служит для определения угла между этой плоскостью и пл. 2, а линия наибольшего наклона к· пл.  3 - для определения угла с пл. 3. На рис. 115 построены линии ската в заданных плоскостях. Угол пл.  с пл. , выражен проекциями - фронтальной в виде угла В"К"В' и, горизонтальной в виде отрезка К'В'. Определить величину этого угла можно, построив прямоугольный треугольник по катетам, равным К'В' и В"В'. Очевидно, линия наибольшего наклона плоскости определяет положение этой плоскости. Например, если (рис, 115) заданна линия ската KB, то, проведя перпендикулярную к ней горизонтальную прямую AN или задавшись осью проекций  и проведя h'о% К'В', мы вполне определяем плоскость, для которой KB является линией ската. 47 Рассмотренные нами прямые особого положения в плоскости, главным образом горизонтали и фронтали, весьма часто применяются в различных построениях и при решении задач. Это объясняется значительной простотой построения указанных прямых; их поэтому удобно применять в качестве вспомогательных. На рис. 116 была задана горизонтальная проекция К' точки К. Требовалось найти фронтальную проекцию К", если точка К должна быть в плоскости, заданной двумя параллельными прямыми, проведенными из точек А и В. Сначала была проведена некоторая прямая линия, проходящая через точку К и лежащая л заданной плоскости. В качестве такой прямой выбрана фронталь MN: ее горизонтальная проекция проведена через данную проекцию К'. Затем построены точки М" и N", определяющие фронтальную проекцию фронтали. Искомая проекция К" должна находиться на прямой M"N". На рис. 117 слева по данной фронтальной проекции A" точки А, принадлежащей пл. а, найдена ее горизонтальная проекция (А1); построение произведено при помощи горизонтали ЕК. На рис. 117 справа аналогичная задача решена при помощи' фронтали MN. 0x01 graphic Еще один пример построения недостающей проекции точки, принадлежащей некоторой плоскости, дан на рис. 118. Слева показано задание: линия ската плоскости (AB) и горизонтальная проекция точки (К'). {Справа на рис. 118 показано построение: через точку К' проведена (перпендикулярная  А'В') горизонтальная проекция горизонтали, на которой должна лежать точка К, по точке L" найдена фронтальная проекция этой горизонтали и на ней искомая проекция К". На рис. 119 дан пример построения второй проекции некоторой плоской кривой, если известна одна проекция (горизонтальная) и пл. а, в которой эта кривая расположена. Взяв на горизонтальной проекции кривой ряд точек, находим при помощи горизонталей точки для построения фронтальной проекции кривой. Стрелками показан ход построения фронтальной проекции A" по горизонтальной проекции А'. 48

    ВОПРОСЫ К §§16-18 ,

1. Как задается плоскость на чертеже? 2. Что такое след плоскости на плоскости проекций? 3. Где располагаются фронтальная проекция горизонтального следа и горизонтальная проекция фронтального следа плоскости? 4. Как определяется на чертеже, принадлежит ли прямая данной плоскости? 5. Как построить на чертеже точку, принадлежащую данной плоскости? 6. Что такое фронталь, горизонталь и'линия ската плоскости? 7. Может ли служить линия ската плоскости для определения угаа наклона этой плоскости к плоскости проекций ·? Определяет ли прямая линия плоскость, для которой эта прямая является линией ската?
Возможны следующие положения плоскости относительно плоскостей проекций , 2, 3: 1) плоскость не перпендикулярна ни к одной из плоскостей проекций, 2) плоскость перпендикулярна лишь к одной из них, 3) плоскость перпендикулярна к двум плоскостям проекций. Плоскости второго и третьего положений носят общее название "проецирующие плоскости". 1. Плоскость, не перпендикулярная ни к одной из плоскостей проекций, является плоскостью общего положения (см. рис. 105). Рассмотрим, например, плоскость, изображенную на рис. 112. Эта плоскость не перпендикулярна ни к 1 ни к 2, ни к 3. То, что она не перпендикулярна ни к 1, ни к 2, подтверждается видом проекций А'В'С и А"В"С": если бы плоскость, определяемая треугольником ABC, была перпендикулярна хотя бы к пь то (рис. 120) проекция А'В'С представляла бы собой отрезок прямой. Итак, рассматриваемая нами плоскость не перпендикулярна ни к 1 ни к 2. Но, может быть, эта плоскость перпендикулярна к 3? Нет, горизонталь этой плоскости АК не перпендикулярна к 3 (сравните о рис. 54, где показана"прямая, перпендикулярная к 3), и, следовательно, пл. ABC не перпендикулярна к 3. Итак, на рис. 112 дан пример задания плоскости общего положения в системе 1,2. Другими примерами задания плоскости общего положения служат рис. 109, 110, 111, 113, 116, а также рис. 102, 104, 107, слева, 108, 115, справа, 117, 119, на которых плоскости выражены следами. Плоскость общего положения (см. рис. 105) пересекает каждую из осей х, у, z. Следы плоскости общего положения никогда не перпендикулярны к этим осям проекций. Если следы плоскости общего положения h'о и f"о образуют с осью  одинаковые углы, то это означает, что углы между пл.  и плоскостями   и 2 равны между собой. Действительно, если плоские углы трехгранного угла равны между собой, то равны и лежащие против них двугранные углы; углы, образуемые следами h'о и f"о с осью  (см. рис. 105), представляют собой плоские углы, против которых соответственно расположены двугранные углы, образуемые пл.  с плоскостями  2 и . 0x01 graphic Рис. 120 Если плоскость общего положения должна быть одинаково наклонена к плоскостям 1 , 2 и 3, то (см. рис. 105), очевидно, , --  = ,, т.е. следы составляют с осями проекций углы 45°. Рассматривая плоскость общего положения в пространстве в пределах первой четверти или первого октанта, замечаем, что угол между горизонтальным и фронтальным следами может быть острым (см. рис. 105) или тупым (рис. 121). Пл. , изображенная на рис.121, проходит через все октанты, кроме шестого. Если чертеж плоскости общего положения строить по координатам точек пересечения следов, то, очевидно, на рис. 121 должны быть заданы положительные абсциссы и ордината точек Х  и У  и отрицательная аппликата точки . На рис. 122 изображен частный случай плоскости общего положения -- ее следы h'о и f"о , на чертеже лежат на одной прямой. Вспоминая схему совмещения плоскостей проекций (рис. 15 на с. 17), заметим, что следы h'о и f"о, образуют равные углы с осью  не только на чертеже, но и в пространстве. Как показано на рис. 122 справа, из равенства прямоугольных треугольников КК'Х и К"К'Х следует, что угол KX К' равен углу ' ", . е. след f"о - образует . с осью  такой же угол, как и след h'о . Отсюда пл.  образует равные углы с плоскостями 1 и 2. Часть пл. , находящаяся в первой четверти, содержит в себе натуральный угол между h'о и f"о (в нашем примере -- тупой). На рис. 122 показано также построение третьего следа плоскости (р0) по заданным двум ее следам h'0, и f",.Вследствие того, что следы h'0a и f"о лежат на одной прямой, точка Z, сливается с точкой У и, следовательно, точка У1 оказывается на таком же расстоянии от точки О, на каком находится точка Z,; поэтому след р"'о, наклонен под углом 45° к оси .у (и к оси z); именно такой наклон профильного следа будет получаться во всех случаях построения 0x01 graphic Рис.121 0x01    graphic Рис 122 плоскости, у которой на чертеже горизонтальный и фронтальный следы лежат на одной прямой, пересекающей ось  под острым углом. Такая плоскость проходит через перпендикуляр к оси х, составляющий с пл. 2 (или с 1 ) угол 45°. А так как этот перпендикуляр является перпендикуляром к биссекторной плоскости двугранных углов, смежных с углом 1 2 , то рассматриваемая плоскость может быть определена как плоскость, перпендикулярная к биссекторной плоскости второй и четвертой четвертей пространства ') ') Интересующихся более подробным изложением отсылаем к предыдущим изданиям этой книги. 50 2. Если плоскости перпендикулярны лишь к одной из плоскостей проекций, то возможны три случая частных положений. а) Плоскость перпендикулярна к горизонтальной плоскости проекций. Такие плоскости называются горизонтально-проецирующими. Пример дан на рис. 123: плоскость задана проекциями треугольника ABC. Горизонтальная проекция представляет собой отрезок прямой линии. Угол 2 равен углу между заданной плоскостью и пл. 2. На рис. 124 дан пример изображения горизонтально-проецирующей плоскости ее следами: слева дано наглядное изображение, в середине -- чертеж в системе 0x01 graphic 0x01 graphic Рис. 123 1, 2 с указанием оси  и следов f"о и h'о справа -- без указания оси  и, следовательно, следа f"о . Фронтальный след перпендикулярен к пл. 1 и к оси проекций х. Горизонтальный же след может составлять с осью проекций любой угол; этот угол служит линейным углом двугранного между горизонтально-проецирующей плоскостью и пл. 2. Угол между hо и fо , а также угол между h0 и ро в пространстве равен 90°. Если в горизонтально-проецирующей плоскости расположена точка, то ее горизонтальная проекция должна быть на горизонтальном следе плоскости. Это относится и к любой системе точек, расположенных в горизонтально-проецирующей плоскости, будь то прямые линии, плоские кривые или фигуры. След hо" ' можно рассматривать как горизонтальную проекцию плоскости. б) Плоскость перпендикулярна к фронтальной плоскости проекций. Такие плоскости называются фронтально-проецирующими. Пример дан на рис. 125: плоскость задана проекциями треугольника DEF. Фронтальная проекция представляет собой отрезок прямой линии. Угол 1 равен углу между DEF и пл. 1. 0x01 graphic 0x01 graphic Рис. 125 Рис. 126 На рис. 126 слева дано наглядное изображение, в середине -- .чертеж в системе 1, 2 указанием оси проекций, справа -- без указания оси проекций. Горизонтальный след перпендикулярен к пл. 2 и к оси проекций. Фронтальный же след мо- 51 жет составлять с осью проекций любой угол; этот угол служит линейным углом двугранного между фронтально-проецирующей плоскостью и пл. 2. Угол между fо и hоy в пространстве равен 90°, Если в фронтально-проецирующей плоскости расположена точка, то ее фронтальная проекция должна быть на фронтальном следе плоскости. Это относится и к любой системе точек. След fо " " (рис. 126) можно рассматривать как фронтальную проекцию пл. . в) Плоскость перпендикулярна к профильной плоскости проекций. Такие плоскости называются профильно-проецирующими. На рис. 127 дан пример профильно-проецирующей плоскости: плоскость задана проекциями треугольника ABC. Горизонталь этой плоскости расположена перпендикулярно к пл. 3: проекции "D" и А'D ' взаимно параллельны. Это служит признаком того, что перед нами профильно-проецирующая плоскость, а не плоскость общего положения (сравните с рис. 112).° Профильная проекция треугольника ABC представляет собой отрезок прямой линии. Угол 1 между этим отрезком и линией связи С"С" равен углу наклона 0x01 graphic 0x01 graphic Рис. 128 плоскости треугольника к пл. 1 , а угол наклона плоскости треугольника к пл.·2 равен 90° - 1. На рис. 128 дан пример изображения профильно-проецирующей плоскости ее следами. Горизонтальный и фронтальный следы этой плоскости параллельны оси  и, следовательно, параллельны между собой. Изображенная на рис. 107 справа плоскость также является профильно-проецирующей. Плоскость, перпендикулярная к одной из плоскостей проекций (горизонтально-, фронтально- или профильно-проецирующая), может, в частности, проходить через ось проекций. Такую плоскость дополнительно называют осевой плоскостью. Рассмотрим, например, осевую профильно-проецирующую плоскость (рис. 129). Следы ее f 0 и h0 сливаются с осью х; в этом случае необходимо иметь еще третий ее след р0д " '" или хотя бы положение одной точки, принадлежащей этой плоскости и не лежащей на оси .х. 0x01 graphic Рис. 129 Осевая плоскость может быть биссекторной; что значит, что осевая плоскость делит двугранный угол, образованный плоскостями проекций, пополам. 52 Как можно изобразить профильно-проецирующую плоскость на чертеже без осей проекций? Так, как дано на рис. 127. Другой пример представлен на рис. 130: плоскость задана двумя пересекающимися прямыми, из которых одна (AB) перпендикулярна к пл. 3, а другая занимает произвольное положение. 3. Если плоскости перпендикулярны к двум плоскостям проекций, то также возможны три случая частных положений1). 0x01 graphic 0x01 graphic 0x01 graphic Рис. 132 0x01 graphic 0x01 graphic Рис. 133 0x01 graphic 0x01 graphic Рис. 135 Рис. 136 а) Плоскость перпендикулярна к плоскостям 2 и 3, т.. е. параллельна плоскости 1 . Такие плоскости называются горизонтальными. На рис. 131 дан пример горизонтальной плоскости, заданной проекциями треугольника ABC. На рис. 132 справа изображена горизонтальная плоскость в системе 1 , 2 при помощи фронтального следа. След (f0t = ") можно рассматривать как фронтальную проекцию плоскости. б) Плоскость перпендикулярна к плоскостям 1 и 3, т. е. параллельна плоскости 2. Такие плоскости называются фронтальными. На рис. 133 дан пример фронтальной плоскости, заданной проекциями треугольника CDE. ') Для таких плоскостей встречается общее название "плоскости уровня". Однако это название отвечает обычному представлению только о горизонтальности. 53 помощи следа (hо" '), который можно рассматривать как проекцию этой плоскости на пл. 1 . в) Плоскость перпендикулярна к плоскостям 1 и 2, т. е. параллельна плоскости 3. Такие плоскости называются профильными. Пример изображения в системе 2, 3 дан на рис. 135: плоскость задана проекциями треугольника EFG. На рис. 136 дан пример изображения в системе 1, 2 при помощи следов. Каждый из них можно рассматривать как проекцию плоскости  на соответствующей плоскости проекций. Профильная плоскость сочетает в себе свойства фронтально- и горизонтально-проецирующей плоскостей.

    ВОПРОСЫ К §19

1. Как располагаются в системе 1, 2 , 3 плоскость общего положения и плоскости, называемые проецирующими? 2. Что такое фронтально-проецирующая плоскость, горизонтально-проецирующая, профильно-проецирующая? 3. Как определить, является ли плоскость, заданная в системе ,, я- пересекающимися или параллельными прямыми, плоскостью общего положения или профильно-проецирующей? 4. Что представляет собой горизонтальная проекция горизонтально-проецирующей плоскости и фронтальной плоскости? 5. Тот же вопрос в отношении фронтальной проекции фронтально-проецирующей плоскости и горизонтальной плоскости. 6. Где располагается горизонтальная проекция любой системы точек, расположенной в горизонтально-проецирующей или фронтальной плоскости? 7. Где располагается фронтальная проекция любой системы точек, расположенной в горизонтальной или фронтально-проецирующей плоскости? Чему равен в пространстве угол между фронтальным и горизонтальным следами горизонтально- и фронтально-проецирующей плоскостей?
В дальнейшем изложении будут иметь место случаи, когда придется проводить проецирующую плоскость через прямую линию согласно какому-либо условию. Через прямую общего положения можно провести любую из таких плоскостей. Примеры даны на рис. 137. Через заданную в системе 1, 2 прямую, проходящую через точку К, проведены фронтально-проецирующая плоскость, выраженная ее фронтальной проекцией ", горизонтально-проецирующая плоскость, выраженная ее горизонтальной проекцией ', и профильно-проецирующая плоскость, определяемая, помимо заданной прямой АК, еще прямой АВ, перпендикулярной к пл. 3. 0x01 graphic 0x01 graphic На рис. 138 плоскости, проведенные через заданную прямую, выражены следами. Положение оси х или задается, или может быть выбрано. 54 Но через прямую общего положения нельзя провести ни фронтальную, ни горизонтальную, ни профильную плоскость. Такие плоскости можно проводить лишь через соответственно расположенные прямые: через горизонтальную прямую про- 0x01 graphic 0x01 graphic Рис. 139 вести горизонтальную плоскость,, через фронтальную прямую -- фронтальную плоскость, через профильную прямую -- профильную плоскость. На рис. 139 изображены горизонтальная плоскость , проходящая через горизонтальную прямую АВ, и фронтальная пл. , проходящая через фронтальную прямую CD.

    § 21. ПОСТРОЕНИЕ ПРОЕКЦИЙ ПЛОСКИХ ФИГУР

Построение проекций плоских фигур (т. е. фигур, все точки которых лежат в одной плоскости, например, квадрата, круга, эллипса и т. д.) сводится к построению проекций ряда точек, отрезков прямых и кривых линий, образующих контуры проекций фигур. Зная координаты вершин, например, треугольника, можно построить проекции этих точек, затем проекции сторон и получить таким образом проекции фигуры. Чертежи, содержащие проекции треугольника,, уже встречались (например, рис. 110, 112 и др.). Если сравнить между собой рис. 110 и 112, то можно заметить, что на рис. ПО одна из проекций, положим фронтальная, изображает "лицевую" сторону треугольника, а горизонтальная - "тыльную". А на рис. 112 каждая из проекций изображает треугольник с одной и той же его стороны. Признаком может служить порядок обхода вершин: на рис. 110 для фронтальной проекции по часовой стрелке (считая от А" к С"), а для горизонтальной -- против часовой стрелки; на рис. 112 для обеих проекций обход в одном направлении - в данном случае по часовой стрелке. В общем случае в системе 1, 2 , 3 проекции какого-либо многоугольника представляют собой также многоугольники с тем же числом сторон; при этом плоскость этого многоугольника является плоскостью общего положения. Но ,если в системе 1, 2 обе проекции, например, треугольника представляют собой треугольник, то его плоскость может оказаться плоскостью общего положения или профильно-проецирующей: на рис. 112 - плоскость общего положения, а на рис. 127 - профильно-проецирующая. Определителем служит, как было сказано на с. 52 в пояснении к рис. 127, горизонталь (или фронталь): если ее проекции на , и 2 взаимно параллельны, то плоскость профильно-проецирующая (рис. 127); если же не параллельны, то плоскость общего положения (например, рис. 112, 115, слева). Если проекция многоугольника на 1 или на 2 представляет собой отрезок прямой, то плоскость этого многоугольника соответственно перпендикулярна к 1 или к 2. Например, на рис. 123 плоскость треугольника горизонтально-проецирующая, на рис. 125 -- фронтально-проецирующая. Фигура, расположенная параллельно плоскости проекций, проецируется на нее без искажения. Например, все элементы треугольника CDE, изображенного на рис. 133, проецируются на пл. 2 без искажения; круг, изображенный на рис. 140, проецируется на пл. 1 без искажения. 55 Если же плоскость фигуры не параллельна плоскости проекций, то для определения натурального вида (т. е. без искажения) этой фигуры применяют способы, указанные далее, в главе V. Конечно, можно было бы и теперь, не зная еще этих способов, построить, например, натуральный вид треугольника, изображенного на рис. 112, определив длину каждой его стороны как длину отрезка (см. § 13) и затем построив треугольник по найденные отрезкам. Вместе с тем определились бы и углы данного треугольника. Так поступают, например, при построении развертки 0x01 graphic 0x01 graphic Рис. 140 Рис. 141 боковой поверхности пирамиды, призмы и др. (см. далее § 44). Если же многоугольник расположен в проецирующей плоскости, то можно построить его натуральный вид так, как показано на рис, 141. Положим, требуется определить натуральный вид четырехугольника KPNM, расположенного в фронтально-проецирующей пл. ос. Тогда, как это показано на рис. 141 справа, можно взять в плоскости фигуры две оси прямоугольных координат с началом хотя бы в точке К: ось абсцисс (К"Х", К'Х1) параллельно пл. 2, ось ординат перпендикулярно к 2 (проекции этой оси К"", К'Т), провести прямую KL (это можно сделать, например, параллельно К"Х") и отложить на ней К1 = = К"Р", К2 -- К"М", КЗ = "". Затем на перпендикулярах к прямой KL в точках 1,2 и. 3 отложим отрезки Р1 = F4, М2 -- М'5 и N3 = N'6. Построенный таким образом четырехугольник  представляет собой натуральный вид заданного. При решении многих задач вопрос о том, какое положение занимает плоская фигура относительно Плоскостей проекций, приобретает существенное значение. В качестве примера рассмотрим вопрос о построении четырех замечательных точек треугольника. Так как делению отрезка прямой в пространстве пополам отвечает такое же деление проекций этого отрезка (см. § 12), то построение точки пересечения медиан треугольника') может быть произведено на чертеже во всех случаях непосредственно. .Достаточно (рис. 142) провести медианы на каждой из проекций треугольника, и точка пересечения его медиан будет определена. При этом можно ограничиться построением обеих проекций лишь одной из медиан (например, A'D' и A"D") и одной проекции второй медианы (например, В"Е"); в пересечении4 A"D" и В"Е" получаем точку М", а по ней находим на A'D' точку М'. Можно было бы также, построив лишь одну из медиан треугольника, найти на ней точку М на основании известного из геометрии свойства этой точки (она делит каждую медиану в отношении 2:1). Построение точки пересечения трех высот треугольника 2) и точки перпендикуляров к сторонам треугольника, проведенных через их середины3), связано с проведением взаимно перпендикулярных прямых. *·) Точка пересечения медиан есть центр тяжести треугольника. 2) Ортоцентр треугольника. Центр описанной окружности. 56 В § 15 были указаны условия, при которых перпендикулярные отрезки в пространстве имеют своими проекциями также перпендикулярные отрезки. Если плоскость треугольника параллельна плоскости проекций (например, треугольник СОЕ на рис. 133), то, опустив пер-. пендикуляры из точек С", D" и Е" на противоположные им стороны, получаем проекции высот треугольника. Но в треугольнике общего положения так поступить нельзя. В частном случае, когда одна сторона треугольника параллельна пл.  1, а другая параллельна пл. 2 (рис. 143), проведя С"Е" перпендикулярно к A"B" и В'Е' перпендикулярно к A'C', получаем в пространстве CF" AB и ВЕ" АС; точка пересечения высот оказалась построенной без каких-либо особых приемов. В сймом же общем случае для проведения на проекционной! чертеже перпендикулярных линий приходится прибегать к особым приемам, которые будут изложены дальше. Построение точки пересечения биссектрис треугольника ') также может быть произведено непосредственно лишь в частных случаях расположения треугольника относительно плоскостей проекций. Это объясняется Тем, что деление пополам проекции какого-либо утла отвечает его делению пополам в пространстве только в том случае, если стороны данного угла одинаково наклонены к той плоскости проекций, на которой производится деление пополам проекции угла (см. § 15). 0x01 graphic 0x01 graphic Рис. 143 При построении проекций какого-либо многоугольника необходимо обратить внимание на то, чтобы не нарушалось условие нахождения всех точек данной фигуры в одной плоскости. На рис. 144 даны полностью горизонтальная проекция некоторого пятиугольника ABCDE и фронтальные проекции только трех его вершин: А", В" и Е". Справа 0x01 graphic Рис. 144 на рис. 144 показано построение проекций остальных двух вершин, С" и D", пятиугольника. Чтобы точки С и D лежали в плоскости, определенной тремя точками А, ') Центр вписанной окружности. 57 В и Е, необходимо, чтобы они находились на прямых, лежащих в этой плоскости. Этими прямыми являются диагонали AC, AD и BE, горизонтальные проекции которых мы можем построить. На фронтальной проекции пятиугольника мы можем провести лишь В"Е". Но в плоскости пятиугольника лежат точки пересечения диагоналей К и М, горизонтальные проекции которых (К' и М1) имеются, а фронтальные проекции получаются сразу, так как они должны лежать на В"Е". По двум точкам строятся фронтальные проекции и остальных двух диагоналей А"К" и А"М"; на них должны лежать точки С" и D", которые определяются по их горизонтальным проекциям. · Круг, плоскость которого параллельна какой-либо плоскости проекций, проецируется на эту плоскость без искажения (см. рис. 140, где круг взят в горизонтальной плоскости). Если плоскость круга расположена перпендикулярно к плоскости проекций, то на эту плоскость круг проецируется в виде отрезка прямой, равного диаметру круга. Но если круг расположен  плоскости, составляющей с плоскостью проекций какой-либо острый угол , то проекцией круга является фигура, называемая эллипсом. Эллипсом называется также кривая, ограничивающая эллипс-фигуру: если эллипс-фигура является проекцией круга, то эллипс-линия является проекцией окружности. В дальнейшем изложении, говоря об эллипсе, будем подразумевать проекцию окружности. Эллипс относится к числу кривых, называемых кривыми второго порядка. Уравнения таких кривых в декартовых координатах представляют собой уравнения второго порядка. Кривая второго порядка пересекается с прямой линией в двух точках. Далее мы встретимся еще с параболой и гиперболой, тоже кривыми второго порядка. Эллипс можно рассматривать как "сжатую" окружность. Это показано на рис. 145, слева. Положим, что на радиусе ОВ отложен отрезок ОВ1 длиной b, причем b < а (т. е. меньше радиуса окружности). Если теперь взять на окружности какую-либо точку К и, проведя из К перпендикуляр на А 1 А2, отметить на КМ точку 0x01 graphic 0x01 graphic 0x01 graphic Рис. 145 Рис. 146 ку k1 так, чтобы МК1 :МК = b:а, то эта точка К, будет принадлежать эллипсу. Так можно преобразовать каждую точку окружности в точку эллипса, соблюдая одно и то же отношение b:а. Окружность как бы равномерно сжимается; линия, в которую при этом преобразуется окружность, является эллипсом. Отношение b: a называется коэффициентом сжатия эллипса. Если b приближается к а; то эллипс расширяется и при b = а превращается в окружность. Напомним (из курса черчения средней школы), что 1) отрезок А1А2=2а называется большой осью эллипса; 2) отрезок bib- = 2b называется малой осью эллипса; 3) большая и малая оси взаимно перпендикулярны; точка пересечения осей называется центром эллипса; 58 5) отрезок прямой между двумя точками -эллипса, проходящий через -центр эллипса, называется его диаметром; 6) точки A,, A2> В,, B2 называются вершинами эллипса; 7) эллипс симметричен относительно его осей и относительно его центра; эллипс есть геометрическое место точек, сумма расстояний которых до двух заданных точек Ft и F2 (рис. 145, справа) имеет одно и то же значение 2а (размер большой оси). C'D' делит хорду M\N{, параллельную диаметру E'F', сопряженному с CD', пополам. Но именно такие два диаметра эллипса, из которых каждый делит пополам хорды, параллельные другому, являются сопряженными. Сопряженные диаметры эллипса не перпендикулярны один к другому; исключение составляют оси эллипса, Из рассмотрения рис. 146 следует, что при повороте окружности вокруг диаметра AtA2 на угол  этот диаметр, параллельный пл. itlt сохраняет в горизонтальной проекции свою величину и становится большой осью эллипса (см. рис. 146, справа). Диаметр же В1В2, повернутый на угол 1 к пл. -, проецируется на нее с сокращением: 0x01 graphic Это соответствует отношению осей эллипса, т. е. его коэффициенту сжатия. Если в окружности провести какие-либо два взаимно перпендикулярных диаметра, то в проекции, представляющей собой эллипс (рис. 146, справа), проекции таких диаметров окружности оказываются диаметрами эллипса, называемыми сопряженными. Если в окружности (рис. 146, слева) провести, например, хорду [(, параллельную диаметру E'F', то диаметр C'D' разделит эту хорду (и все хорды, ей параллельные) пополам. Очевидно, что и в эллипсе сохранится это свойство (см. рис. 146, справа): диаметр также являющиеся парой сопряженных диаметров. 0x01 graphic Рис. 147 Напомним, как производится построение эллипса по его осям (рис. 147, слева). Построение выполняется при помощи двух концентрических окружностей, проведенных радиусами а (большая полуось) и b (малая полуось). Если провести какой-либо радиус ОМ, и прямые  1Л/„ и ЕМ, параллельные малой и большой осям эллипса, то при пересечении этих прямых получится точка М, принадлежащая эллипсу. Действительно, 0x01 graphic Проводя ряд радиусов и повторяя указанное построение, получаем ряд точек эллипса. Построив какую-нибудь точку эллипса, можно построить еще три точки, расположенные симметрично найденной относительно осей эллипса или его центра. На рис. 147 справа показано построение фокусов эллипса: засекая из точки B, большую ось дугой, радиуса, равного большой полуоси oa 1, получаем точки f 1 и F2 -- фокусы эллипса. Построив угол F 1КF2, где К -- любая точка эллипса, проводим в нем биссектрису и перпендикулярно к ней в точке К касательную к эллипсу. Прямая KN, перпендикулярная  каса-тельной, является нормалью1) к эллипсу в точке К. ') От normal is (лат.) -- прямолинейный. 59 Как построить оси эллипса, если известны его сопряженные диаметры? Пусть получены сопряженные полудиаметры CA и СВ (рис. 148). Для построения осей эллипса: 1) один из сопряженных полудиаметров, например CB, поворачиваем на угол 90° по направлению к другому (до положения CB2); 2) проводим отрезок AB2 и делим его пополам; 3) из точки К проводим окружность радиусом КС; · 4) прямую, определяемую отрезком АВ2, продолжаем до пересечения с этой окружностью в точках D и E; 5) проводим прямую DC, получаем направление большой оси эллипса; 6) проводим ЕС -- направление малой оси эллипса; 7) откладываем С1 .= АЕ -- большая полуось; 8) откладываем СЗ = AD -- малая полуось; 9) откладываем С2 = С;, С4 = СЗ, С5,= СА, Со = СВ. Эллипс может быть проведен через восемь точек /, А, 3, В, 2,5,4 и 6 или построен по большой и малой осям, как показано на рис. 147. Итак, проведя прямые CD и СЕ, мы получили направления большой и малой осей эллипса; точка A, принадлежащая эллипсу, делит диаметр ED на два отрезка, из которых один (АЕ) равен большой полуоси этого эллипса, а другой (AD) -- малой полуоси. Если (рис. 149) 0x01 graphic 0x01 graphic Рис. 150 Рис. 151 взять оси координат  и у соответственно по прямым CD и СЕ и из точки А провести перпендикуляр AD к прямой CD, то координаты,,точки А могут быть выражены следующим образом: Отсюда 0x01 graphic Это уравнение эллипса, у которого АЕ -- большая полуось, а АО -- малая полуось. На рис. 146 было показано построение горизонтальной проекции окружности, расположенной в фронтально-проецирующей плоскости, наклоненной к пл. 1. Пусть теперь в такой 60 плоскости лежит эллипс с полуосями а и b. Его проекцией иногда может оказаться окружность с диаметром, равным малой оси эллипса: это будет тогда, когда для угла между плоскостью, в которой лежит эллипс, и пл. 1 имеет место соотношение0x01    graphic (рис. 150). Полученная окружность будет служить проекцией ряда эллипсов, если изменять угол  и размер а, оставляя b неизменным. Представим себе прямой круговой цилиндр с вертикальной осью (рис. 151); наклонные сечения этого цилиндра будут эллипсами, малая ось которых равна диаметру цилиндра.

    ВОПРОСЫ К §§ 20-21

1. Как изображается на чертеже фронтально-проецирующая плоскость, проведенная через прямую общего положения? 2. Как построить проекции центра тяжести в заданном чертеже треугольника? 3. Что могут представлять собой проекции круга в зависимости от положения его плоскости относительно плоскости проекций? 4. Можно ли рассматривать эллипс как "сжатую" окружность? 5. Что такое коэффициент сжатия эллипса? 6. Имеет ли эллипс: а) оси симметрии, б) центр симметрии? 7. Какие диаметры эллипса называются: а) осями, б) сопряженными диаметрами? 8. Как по заданным сопряженным диаметрам эллипса построить его оси? ГЛАВА IV. ВЗАИМНОЕ ПОЛОЖЕНИЕ ДВУХ ПЛОСКОСТЕЙ, ПРЯМОЙ ЛИНИИ И ПЛОСКОСТИ § 22. ОБЗОР ВЗАИМНЫХ ПОЛОЖЕНИЙ ДВУХ ПЛОСКОСТЕЙ, ПРЯМОЙ ЛИНИИ И ПЛОСКОСТИ Две плоскости могут быть параллельными или пересекаться между собой. Рассмотрим случай взаимной параллельности плоскостей. Если плоскости  и  параллельны (рис. 152), то всегда в каждой из них можно построить по две пересекающиеся между собой прямые линии так, чтобы прямые одной плоскости были соответственно параллельны двум прямым другой плоскости. Это служит основным признаком для определения, параллельны плоскости между собой или не параллельны. Такими прямыми могут служить, например, 0x01 graphic 0x01 graphic Рис. 152 Рис. 153 0x01 graphic 0x01 graphic Рис. 154 Рис. 155 следы обеих плоскостей: если два пересекающихся между собой следа одной плоскости параллельны одноименным с ними следам другой плоскости, то обе плоскости параллельны между собой (рис. 153, где h'0% h'0, f"o || f"o). На рис. 154 показаны параллельные между собой фронтально-проецирующие плоскости, заданные треугольниками ABC и DEF. Их параллельность определяется параллельностью фронтальных проекций А"В"С" и D"F"E". Если же эти плоскости выразить их следами на 2 и ,, то так же, как на рис. 153, фронтальные следы ока- 62 жутся взаимно параллельными и горизонтальные следы будут также взаимно параллельны. Очевидно, если известно, что параллельные между собой плоскости фронтально-проецирующие, то на чертеже можно в некоторых случаях ограничиться только приведением их фронтальных следов так, как это показано далее на рис. 166 ("1||"2). Для горизонтально-проецирующих плоекостей (если известно, что они. взаимно параллельны) в аналогичных случаях достаточно провести их горизонтальные следы -- один параллельно другому. Рассмотрим случай взаимного пересечения плоскостей. В случае задания плоскостей их следами легко установить, что эти плоскости пересекаются: если хотя бы одна пара одноименных следов пересекается, то плоскости пересекаются. Так, например, на рис. 155 f"o || f"o, но ' и а' пересекаются: плоскости  и  пересекаются между собой. Изложенное относится к плоскостям, заданным пересекающимися следами. Если же обе плоскости имеют на  и на 2 следы, параллельные оси х, то эти плоскости могут или пересекаться, или быть параллельными. Для решения вопроса 0x01 graphic 0x01 graphic Рис. 156 Рис. 157 о взаимном положении таких плоскостей можно построить третий след: если следы обеих плоскостей на третьей плоскости проекций также параллельны друг другу, то плоскости параллельны (рис. 156: h'0fi \\ h'0 f"o% f"o и "' || '"); если же третьи следы пересекаются, то плоскости пересекаются (рис. 157)1). Так решается вопрос о взаимном положении двух плоскостей, заданных следами. Если же плоскости заданы не следами, а каким-либо другим способом, и надо узнать, пересекаются ли эти плоскости, то вообще следует прибегать к некоторым вспомогательным построениям. Примеры этих построений будут даны при дальнейшем изложении. Рассмотрим случаи взаимного положения прямой линии и плоскости. Взаимное положение прямой линии и плоскости в пространстве может быть следующим: а) прямая лежит в плоскости, б) прямая пересекает плоскость, в) прямая параллельна плоскости. Если на чертеже непосредственно нельзя установить взаимного положения прямой и плоскости, и то прибегают к некоторым вспомогательным построениям, в результате которых от вопроса о взаимном положении прямой и плоскости переходят к вопросу о взаимном положении данной прямой и некоторой вспомогательной прямой. Для этого (рис. 158) проводят через данную прямую АВ некоторую вспомогательную плоскость  и рассматривают взаимное положение прямой  пересечения плоскостей  и  и прямой АВ. 0x01 graphic ') Очевидно, что при такой, например, последовательности в расположении параллельных оси  следов: f"o, f"o, h'0, h'0 плоскости не могут быть параллельны между собой и построение следов '" и '" излишне. 63 При этом возможны три случая: 1) Прямая MN сливается с прямой АВ; это соответствует тому, что прямая АВ принадлежит пл. . 2) Прямая  пересекает прямую АВ; это соответствует тому, что прямая АВ пересекает пл. . 3) Прямая  параллельна прямой АВ; это соответствует тому, что прямая АВ параллельна пл. . Итак, указанный прием определения взаимного положения прямой и плоскости заключается в следующем: 1) через данную прямую проводят вспомогательную плоскость и строят линию пересечения этой плоскости и данной плоскости; 2) устанавливают взаимное положение данной прямой и прямой пересечения плоскостей; найденное положение определяет взаимное положение данных прямой и плоскости. Для решения вопроса о взаимном положении плоскости и прямой мы применили способ вспомогательных плоскостей, которым часто пользуются при построениях, связанных со взаимным расположением различных поверхностей и линий с поверхностями. Подбор вспомогательных плоскостей обычно производят с таким расчетом, чтобы построения были как можно более простыми. Может оказаться, например, что плоскости горизонтальные или фронтальные, горизонтально- и фронтально-проецирующие, вообще весьма удобные в качестве вспомогательных, нельзя будет применить совсем или их применение вызовет усложнение построения даже по сравнению с плоскостями общего положения, взятыми в качестве вспомогательных. Решая ту или иную задачу с применением вспомогательных плоскостей, необходимо выбирать эти плоскости так, чтобы все возникающие при этом построения были возможно проще и чтобы этих построений было как можно меньше. § 23. ПЕРЕСЕЧЕНИЕ ПРЯМОЙ ЛИНИИ С ПЛОСКОСТЬЮ, ПЕРПЕНДИКУЛЯРНОЙ К ОДНОЙ ИЛИ К ДВУМ ПЛОСКОСТЯМ ПРОЕКЦИЙ Плоскость, перпендикулярная к плоскости проекций, проецируется на последнюю в виде прямой линии. На этой прямой (проекции плоскости) должна находиться соответствующая проекция точки, в которой некоторая прямая пересекает такую плоскость1). На рис. 159 фронтальная проекция К" точки пересечения прямой АВ с треугольником СОЕ определяется в пересечении проекций А"В" и С"Е", так как треугольник проецируется на пл. 2 в виде прямой линий. Найдя точку К", определяем положение проекции К'. Так как прямая АВ в направлении от К к В находится под 0x01 graphic 0x01 graphic 0x01 graphic 0x01 graphic Рис. 159 Рис. 160 Рис. 162 ') Точку пересечения прямой с плоскостью называют также точкой встречи прямой с плоскостью. 64 треугольником, то на чертеже часть горизонтальной проекции прямой проведена штриховой линией. На рис. 160 фронтальный след пл.  является ее фронтальной проекцией. Проекция К" определяется в пересечении проекции А"В" и следа ". На рис. 161 дан пример построения проекций точки пересечения прямой с горизонтально-проецирующей плоскостью. Для большей наглядности изображают проекции отрезков прямой линии, пересекающей плоскость, одни -- сплошными линиями, другие -- штриховыми, руководствуясь при этом следующими соображениями: 1. Условно считают, что данная плоскость непрозрачна и точки и линии, лежащие хотя бы и в первой четверти, расположенные для зрителя за плоскостью, будут невидимыми; видимыми же будут точки и линии, расположенные по одну сторону плоскости со зрителем, который, как мы будем считать, находится в первом октанте и бесконечно далеко от соответствующей плоскости проекций. 2. Видимые отрезки линий вычерчиваются сплошными линиями, а невидимые -- штриховыми. 3. При пересечении прямой с плоскостью часть этой прямой делается для зрителя невидимой; точка пересечения прямой с плоскостью служит границей видимости линии. 4. Вопрос о видимости линии всегда можно свести к вопросу о видимости точек. При этом не только плоскость может закрывать точку, но и точка может закрывать другую точку (см. рис. 87). 5. Если несколько точек расположены на общей для них проецирующей прямой, то видимой будет только одна из них: а) по отношению к пл.  -- точка, наиболее удаленная от ,; б) по отношению к пл. 2 -- точка, наиболее удаленная от 2; в) по отношению к пл. 3 -- точка, наиболее удаленная  3. 6. Если чертеж содержит оси проекций, то для определения видимости точек, расположенных на общей для них проецирующей прямой, служат расстояния их соответствующих проекций от оси проекций: а) относительно пл.  видима точка, фронтальная проекция которой находится дальше от оси х; б) относительно пл. 2 видима точка, горизонтальная проекция которой находится дальше от оси х; в) относительно пл. 3 видима точка, горизонтальная проекция которой находится дальше от оси у. Как надо поступать в случае, если чертеж не содержит осей проекций? Рассмотрим рис. 162. Точки 1 к 2 двух скрещивающихся прямых расположены на общей для них проецирующей прямой, перпендикулярной к пл. 2, а точки 3 и 4 -- на проецирующей прямой, перпендикулярной к пл. п1. Точка пересечения горизонтальных проекций данных прямых представляет собой слившиеся проекции двух точек, из которых точка 4 принадлежит прямой AB, а точка 3 -- прямой CD. Так как 3"3' > 4"4', то видима относительно пл. 1 точка 3, принадлежащая прямой CD, а точка 4 точкой 3 закрыта. Так же и точка пересечения фронтальных проекций прямых AB и CD представляет собой слившиеся проекции двух точек / и 2, из которых точка 1 принадлежит прямой AB, а точка 2 - прямой CD. Так как 1'1" > 2'2", то видима относительно пл. 2 точка 1, закрывающая собой точку 2. Это -- общий способ: так можно поступать и на чертежах с осями проекций.

    § 24. ПОСТРОЕНИЕ ЛИНИИ ПЕРЕСЕЧЕНИЯ ДВУХ ПЛОСКОСТЕЙ

Прямая линия, получаемая при взаимном пересечении двух плоскостей, вполне определяется двумя точками, из которых каждая принадлежит обеим плоскостям. Так, прямая К1К2 (рис. 163), по которой пересекаются между собой плоскость, заданная треугольником ABC, и пл. , заданная прямыми DE и DF, проходит через точки  и К2, но в этих точках 0x01 graphic 65 прямые АВ и АС первой плоскости пересекают пл. , т.е. точки К  и Кг принадлежат, обеим плоскостям. Следовательно, в общем случае для построения линии пересечения двух плоскостей надо найти какие-либо две точки, комедия из которых принадлежит обеим плоскостям; эти точки определяют линию пересечения плоскостей. Для нахождения каждой из таких двух точек обычно приходится выполнять специальные построения. Но если хотя бы одна из пересекающихся плоскостей перпендикулярна к плоскости проекций, то построение проекций линии пересечения упрощается. Начнем с такого случая. На рис. 164 показано пересечение двух плоскостей, из которых одна (заданная треугольником DEF) расположена перпендикулярно к пл. п2. Так как треуголь-шк,ОЕР проецируется на пл. 2 в виде прямой линии (D"F"), то фронтальная проекция отрезка прямой, по которому пересекаются оба треугольника, представляет собой отрезок К'[К'2 на проекции D"F". Дальнейшее построение ясно из чертежа. 0x01 graphic 0x01 graphic Рис. 165 Другой пример дан на рис. 165. Горизонтально-проецирующая плоскость  пересекает плоскость треугольника ABC. Горизонтальная проекция линии пересечения этих плоскостей -- отрезок M'N' -- определяется на следе '. Теперь рассмотрим общий случай построения линии пересечения двух плоскостей. Пусть одна из плоскостей, , задана двумя пересекающимися прямыми, а другая, ,-- двумя параллельными прямыми. Построение показано на рис. 166. В результате взаимного пересечения плоскостей  и  получена прямая К1К2. Выразим это записью:  · = 12· Для определения положения точек К1 и К2 возьмем две вспомогательные фронтально-проецирующие плоскости ( 1, и 2), пересекающие каждую из плоскостей  и . При пересечении плоскостей  и  плоскостью 1 получаем прямые с проекциями 1"2", 1'2' и 3"4", 3'4'. Эти прямые, расположенные в пл.  1, в своем пересечении определяют первую точку, К1, линии пересечения плоскостей  и . Введя, далее, пл. 2, получаем в ее пересечении с  и  прямые с проекциями 5"б", 5'6' и 7"8", 7'8'. Эти прямые, расположенные в пл. а2, в своем пересечении определяют вторую точку, К2, общую для  и . Получив проекции К1' и К'2, находим на следах  "1 и  "2 проекции К"1 и К "2. Этим определяются проекции К''2 и К"1К"2 искомой прямой пересечения плоскостей  и  (проекции проведены штрихпунктирной линией). 66 При построении можно иметь в виду следующее: так как вспомогательные секущие плоскости  1 и 2 взаимно параллельны, то, построив проекции 1'2', и 3'4', следует для проекций 5'6' и 7'8' взять по одной точке, хотя бы 5 и 8, так как 5'6' || Г2' и 7'8' % 3'4'. В рассмотренном построении были взяты в качестве вспомогательных две фронтально-проецирующие плоскости. Конечно, можно было взять и иные плоскости, например две горизонтальные или одну горизонтальную, другую фронтальную и т. д. Сущность построений от этого не меняется. Однако может встретиться такой случай. Положим, что были взяты в качестве вспомогательных две горизонтальные плоскости и полученные при пересечении ими 0x01 graphic плоскостей  и  горизонтали оказались взаимно параллельными. Но рис. 167 показывает, что  и  пересекаются между собой, хотя их горизонтали параллельны. Следовательно, получив взаимно параллельные горизонтальные проекции горизонталей AB и CD и зная, что плоскости при этом не обязательно параллельны, а могут пересекаться (по общей для них горизонтали), надо испытать плоскости  и  при помощи хотя бы горизонтально-проецирующей плоскости (см. рис. 167); если прямые, по которым эта вспомогательная плоскость  пересечет  и , также оказались бы параллельны одна другой, то плоскости  и  не пересекаются, а параллельны одна другой. На рис. 167 эти прямые пересекаются в точке К, через которую и проходит линия пересечения плоскостей  и  параллельно прямым BA и CD. Если плоскости заданы их следами на плоскостях проекций, то естественно искать точки, определяющие прямую пересечения плоскостей, в точках пересечения одноименных следов плоскостей (рис. 168): прямая, проходящая через эти точки, является общей для обеих плоскостей, т. е. их линией пересечения. 67 Схему построения линии пересечения двух плоскостей (см. рис. 166) можно, конечно, распространить и на случай задания плоскостей их следами. Здесь роль вспомогательных секущих плоскостей исполняют сами плоскости проекций: 0x01 graphic Точки пересечения одноименных следов плоскостей являются следами линии пересечения этих плоскостей. Поэтому для построения проекций линии пересечения плоскостей  (рис. 168) надо: 1) найти точку М' в пересечении следов h'0 и h'0 0x01 graphic 0x01 graphic Рис. 171 и точку N" в пересечении f"o и f"o, а по ним -- проекции М" и N'; 2) провести прямые линии M"N" и M'N'. На рис. 169--171 показаны случаи, когда известно направление линии пересечения. Поэтому достаточно иметь лишь одну точку от пересечения следов и далее провести через эту точку прямую, исходя из положения плоскостей и их следов. ВОПРОСЫ К §§ 22-24 1. Какое взаимное положение могут занимать две плоскости? 2. Каков признак параллельности двух плоскостей? 3. Как взаимно располагаются фронтальные следы двух параллельных между собой фронтально-проецирующих плоскостей? 68 4. Как взаимно располагаются горизонтальные следы двух параллельных между собой горизонтально-проецирующих плоскостей? 5. Как взаимно располагаются одноименные следы двух параллельных между собой плоскостей? 6. Служит ли признаком взаимного пересечения двух плоскостей пересечение хотя бы одной пары их одноименных следов? 7. Как установить взаимное положение прямой и плоскости? 8. Как строится точка пересечения прямой линии ч плоскостью, перпендикулярной к одной или к двум плоскостям проекций? 9. Какая точка из числа расположенных на общем перпендикуляре к а) пл. , б) пл. bj считается видимой соответственно на , на 2?
одна перпендикулярна К ПЛ. 1 ИЛИ К ПЛ.  2? В чем заключается общий способ построения линии пересечения двух плоскостей?

    § 25. ПЕРЕСЕЧЕНИЕ ПРЯМОЙ ЛИНИИ С ПЛОСКОСТЬЮ ОБЩЕГО ПОЛОЖЕНИЯ

Для построения точки пересечения прямой с плоскостью общего положения надо выполнить следующее (рис. 158): 1) через данную прямую (АВ) провести некоторую вспомогательную плоскость (ос), 2) построить прямую () пересечения плоскости данной () и вспомогательной (ос), 3) определить положение точки (К) пересечения прямых -- данной (АВ) и построенной (). На рис. 172 показано построение точки пересечения прямой FK с плоскостью общего положения, заданной двумя пересекающимися прямыми АВ и CD, 0x01 graphic 0x01 graphic Рис. 172 Рис. 173 Через прямую FK проведена вспомогательная фронтально-проецирующая плоскость . Выбор фронтально-проецирующей плоскости объясняется удобством построения точек пересечения ее фронтального следа с проекциями А"В" и С"D". По точкам М" и " найдены горизонтальные проекции М' и ' и тем самым определена прямая , по которой вспомогательная пл.  пересекает данную пл. . Затем найдена точка К', в которой горизонтальная проекция прямой непосредственно или 69 при своем продолжении пересекает проекцию M'N'. После этого остается найти фронтальную проекцию точки пересечения -- точку К". На рис. 173 показано построение точки пересечения прямой MN с плоскостью, заданной треугольником ABC. Ход построения не отличается от рассмотренного на рис. 172. Но вспомогательная (на этот раз горизонтально-проецирующая) плоскость в данном .случае указана только одним следом ', проходящим через проекцию M'N'. Пл.  пересекает ABC no прямой DE. Но можно обойтись и без ': мысленно представляя себе вспомогательную.горизонтально-проецирующую плоскость, проходящую через , выражаем проекциями E'D' и E"D" отрезок ED, по которому проведенная через MN горизонтально-проецирующая плоскость пересекает треугольник. Считая, что в пространстве заданы прямая и непрозрачный треугольник, определим видимые и невидимые части прямой MN относительно плоскостей  1 и 2. В точке  на пл.  1 совмещаются горизонтальные проекции двух точек, из которых одна принадлежит прямой MN (фронтальная проекция E"1), а другая -- стороне треугольника А С (фронтальная проекция E"). Из расположения фронтальных проекций Е'1 и Е" следует, что на участке КМ прямая находится над треугольником и, следовательно, на горизонтальной проекции отрезок М'К' -- весь видимый, а отрезок K'D' -- невидимый. На фронтальной проекции в точке F" совмещаются фронтальные проекции двух точек, из которых одна принадлежит прямой MN, а другая -- стороне треугольника АВ. По расположению горизонтальных проекций F' и F( заключаем, что прямая MN на участке  К находится за треугольником и, следовательно, на фронтальной проекции отрезок F"K" -- невидимый, а отрезок K"N" -- видимый. На рис. 174-- 176 даны примеры построения точки пересечения прямой с плоскостью общего положения, выраженной следами. В первом примере через прямую AB проведена горизонтально-проецирующая пл. , а во втором (рис. 175) -- горизонтальная плоскость, что оказалось 'возможным сделать, так как в этом примере прямая AB -- горизонтальная. 0x01 graphic 0x01 graphic 0x01 graphic Рис. 176 Изображенная на рис. 176 прямая перпендикулярна к пл. ,. Горизонтальные проекции всех точек этой прямой сливаются в одну точку. Следовательно, положение проекции К' искомой точки пересечения прямой AB с пл.  известно. Положение проекции К" определено при помощи горизонтали. § 26. ПОСТРОЕНИЕ ЛИНИИ ПЕРЕСЕЧЕНИЯ ДВУХ ПЛОСКОСТЕЙ ПО ТОЧКАМ ПЕРЕСЕЧЕНИЯ ПРЯМЫХ ЛИНИЙ С ПЛОСКОСТЬЮ В § 24 был изложен общий способ построения линии, пересечения двух плоскостей, а именно применение вспомогательных секущих плоскостей (см. рис. 166). Рассмотрим теперь другой способ построения в применении к плоскостям общего положения. Этот способ заключается  том, что находят точки пересечения двух 70 прямых, принадлежащих одной из плоскостей, с другой плоскостью. Следовательно, надо уметь строить точку пересечения прямой линии с плоскостью общего положения, что изложено в § 25. На рис. 177 показано пересечение треугольника ABC плоскостью, заданной двумя параллельными прямыми (DE \\ FG). Построение свелось к построению точек ki и К2, в которых прямые DE и F G пересекают плоскость треугольника, и к проведению через эти точки отрезка прямой линии. Представляя себе, что через DE и FG проведены фронтально-проецирующие плоскости, находим параллельные прямые, по которым эти плоскости пересекают треугольник. Одна из них выражена проекциями 1' 2' и 1" 2"; для другой показана одна точка 3", 3', через горизонтальную проекцию которой проведена прямая параллельно проекции 1 2'. Определив положение проекций  и К'2, находим проекции К'[ и К2 и проекции отр. К1К2. Конечно, и в рассмотренном случае применим общий способ (см. рис. 166), но пришлось бы провести больше линий, чем это сделано на рис. 177. На рис. 178 дано построение линии пересечения двух треугольников ABC и DEF с указанием видимых и невидимых участков этих треугольников. Прямая KiK2 построена по точкам пересечения сторон АС и ВС треугольника ABC с плоскостью треугольника DEF. Вспомогательная фронтально-проецирующая плоскость, проведенная через А С (на чфтеже эта плоскость особо не обозначена), пересекает треугольник DEF по прямой с проекциями 1"2" и 1'2'; в пересечении проекций А'С' и 1'2' получена горизонтальная проекция точки Kt пересечения прямой АС и треугольника DEF, затем построена фронтальная проекция К"1. Так же .найдена и точка К2, В примерах на рис. 177 и 178 мы встретились с вопросом о разделении плоских фигур на части, видимые и невидимые для зрителя, так как плоскости считаются 0x01 graphic с0x01 graphic ( -.·-0x01 graphic Рис.178 Рис.179 непрозрачными. На чертежах это показано при помощи штриховки соответствующих частей треугольников ABC. Видимость определена на основании таких же рассуждений, какие имели место в примере, рассмотренном на рис. 173. На рис. 179 приведен еще один пример построения линии пересечения двух треугольников. В данном случае с одинаковым основанием можно считать, что треугольник ABC проходит в прорезь в треугольнике DEF или треугольник DEF проходит в прорезь в треугольнике ABC: надо лишь условиться, в каком из треугольников считать эту прорезь по прямой КгК2. Между тем в случае, приведенном на рис. 178, прорезь только в треугольнике DEF и треугольник ABC проходит через нее. Самое построение на рис. 179 сводится к нахождению точки К, и точки N 2 при помощи фронтально-проецирующих плоскостей 1, и 2. Следует еще раз обратить внимание на то, что применение штриховых линий вместо сплошных, например на рис. 159, 161, 164, 165, 173--179, подсказано желанием сделать изображения более наглядными. Если исходить из понятия о проекции как геометрическом образе, то вопрос о "прозрачности" или "непрозрачности", о "видимости" и "невидимости" отпал бы: все надо было бы изображать сплошными линиями. Но для придания чертежам наглядности введены некоторые условности, в том числе штриховые линии. ВОПРОСЫ К §§ 25-26 1. В чем заключается в общем случае способ построения точки пересечения прямой с, плоскостью? 2. Какие действия и в какой последовательности надо выполнить для построения этой точки (см. вопрос 1)? 3. Как определить "видимость" при пересечении прямой с плоскостью? 4. Как можно построить прямую пересечения двух плоскостей, если не применять общего способа, описанного в § 24? 5. Как определить "видимость" в случае взаимного пересечения двух плоскостей? 6. Чем отличаются случаи, рассмотренные на рис. 178 и 179? § 27. ПОСТРОЕНИЕ ПРЯМОЙ ЛИНИИ И ПЛОСКОСТИ, ПАРАЛЛЕЛЬНЫХ МЕЖДУ СОБОЙ Построение прямой, параллельной заданной плоскости, основано на следующем положении, известном из геометрии: прямая параллельна плоскости, если эта прямая параллельна любой прямой в плоскости. Через заданную точку в пространстве можно провести бесчисленное множество прямых линий, параллельных заданной плоскости: Для получения единственного решения требуется какое-нибудь дополнительное условие. Например, через точку  (рис. 180) требуется провести прямую, параллельную плоскости, заданной треугольником ABC, и плоскости проекций ! (дополнительное условие). Очевидно, искомая прямая должна быть параллельна линии пересечения обеих плоскостей, т.е. должна быть параллельна горизонтальному следу плоскости, заданной треугольником ABC. Для определения направления этого следа можно воспользоваться горизонталью плоскости, заданной треугольником ABC. На рис. 180 проведена горизонталь DC и затем через точку M проведена прямая, параллельная этой горизонтали. Поставим обратную задачу: через заданную точку провести плоскость, параллельную заданной прямой линии. Плоскости, проходящие через некоторую точку А параллельно некоторой прямой ВС, образуют пучок плоскостей, осью которого является прямая, проходящая через точку А параллельно прямой ВС. Для получения единственного решения требуется какое-либо дополнительное условие. 72 Например, надо провести плоскость, параллельную прямой CD, не через точку, а через прямую АВ (рис. 181). Прямые АВ и CD - скрещивающиеся. Если через одну из двух скрещивающихся прямых требуется провести плоскость, параллель- 0x01 graphic 0x01 graphic Рис. 180 Рис. 181 ную другой, то задача имеет единственное решение. Через точку В проведена прямая, параллельная прямой CD; прямые АВ и BE определяют плоскость, параллельную прямой CD. Как установить, параллельна ли данная прямая данной плоскости? Можно попытаться провести в этой плоскости некоторую прямую параллельно данной прямой. Если такую прямую в плоскости не удается построить, то заданные прямая и плоскость не параллельны между собой. Можно попытаться найти также точку пересечения данной прямой с данной плоскостью. Если такая точка не может быть найдена,, то заданные прямая и плоскость взаимно параллельны. § 28. ПОСТРОЕНИЕ ВЗАИМНО ПАРАЛЛЕЛЬНЫХ ПЛОСКОСТЕЙ Пусть дается точка К, через которую надо провести плоскость, параллельную некоторой плоскости, заданной пересекающимися прямыми AF и BF (рис. 182). Очевидно, если через точку К провести прямые СК и DK, соответственно параллельные прямым AF и BF, то плоскость, определяемая прямыми СК и DK, окажется параллельной заданной плоскости. Другой пример построения дан на рис. 183 справа. Через точку A проведена пл.  параллельно пл. а. Сначала через точку А проведена прямая, заведомо параллельная пл. . Это горизонталь с проекциями "" и '', причем A'N'\\ h'o. Таk 0x01 graphic 0x01 graphic Рис. 182 Рис. 183 как точка N является фронтальным следом горизонтали AN, то через эту точку пройдет след f"o% f"o,, а через Х - след h'o || h'o. Плоскости  и  взаимно параллельны, так как их одноименные пересекающиеся следы взаимно параллельны. 73 На рис. 184 изображены две параллельные между собой плоскости -- одна га них задана треугольником ЛВС, другая -- параллельными прямыми DE и FG. Чем же устанавливается параллельность этих плоскостей? Тем, что в плоскости, заданной прямыми DE и FG, оказалось возможным провести две пересекающиеся 0x01 graphic Рис. 184 прямые KN и КМ, соответственно параллельные пересекающимся прямым АС и ВС другой плоскости. Конечно, можно было бы попытаться найти точку пересечения хотя бы прямой DE с плоскостью треугольника ABC. Неудача подтвердила бы параллельность плоскостей. ВОПРОСЫ К §§ 27-28 1. На чем основано построение прямой линии, которая должна быть параллельна некоторой плоскости? 2. Как провести плоскость через прямую параллельно заданной прямой? 3. Чем определяется взаимная параллельность двух плоскостей? 4. Как провести через точку плоскость, параллельную заданной плоскости? 5. Как проверить на чертеже, параллельны ли одна другой заданные плоскости?

    § 29. ПОСТРОЕНИЕ ВЗАИМНО ПЕРПЕНДИКУЛЯРНЫХ ПРЯМОЙ И ПЛОСКОСТИ

Из всех возможных положений прямой, пересекающей плоскость, отметим случай, когда прямая перпендикулярна к плоскости, и рассмотрим свойства проекций такой прямой. На рис. 185 задана плоскость, определяемая двумя пересекающимися прямыми AN и AM, причем AN является горизонталью, a AM -- фронталью этой плоскости. Прямая АВ, изображенная на том же чертеже, перпендикулярна к AN и к AM и, следовательно, перпендикулярна к определяемой ими плоскости. Перпендикуляр к плоскости перпендикулярен к любой прямой, проведенной в этой плоскости. Но чтобы при этом проекция перпендикуляра к плоскости общего положения оказалась перпендикулярной к одноименной проекции какой-либо прямой этой плоскости, прямая должна быть горизонталью, или фронталью, или профильной прямой плоскости. Поэтому, желая построить перпендикуляр к плоскости, берут в общем случае две такие прямые (например, горизонталь и фронталь, как это показано на рис. 185). Итак, у перпендикуляра к плоскости его горизонтальная проекция перпендикулярна к горизонтальной проекции горизонтали, фронтальная проекция перпендику- 74 лярна к фронтальной проекции фронтали, профильная проекция перпендикулярна к профильной проекции профильной прямой этой плоскости. Очевидно, в случае, когда плоскость выражена следами (рис. 186), мы получаем следующий вывод: если прямая перпендикулярна к плоскости, то горизонтальная проекция этой прямой перпендикулярна к горизонтальному следу плоскости, а фронтальная проекция перпендикулярна к фронтальному следу плоскости. Итак, если в системе ,, 2 горизонтальная проекция прямой перпендикулярна к горизонтальному следу и фронтальная проекция прямой перпендикулярна к фронтальному следу плоскости, то в случае плоскостей общего положения (рис. 186), а также горизонталъно-и фронтально-проецирующих прямая перпендикулярна к плоскости. Но для профильно-проецирующей плоскости может оказаться, что прямая к этой плоскости не перпендикулярна, хотя 0x01 graphic проекции прямой соответственно перпендикулярны к горизонтальному и фронтальному следам плоскости. Поэтому в случае профильно-проецирующей плоскости надо рассмотреть также взаимное положение профильной проекции прямой и профильного следа данной плоскости и лишь после этого установить, будут ли перпендикулярны между собой данные прямая и плоскость. Очевидно (рис. 187), горизонтальная проекция перпендикуляра к плоскости сливается с горизонтальной проекцией линии ската, проведенной в плоскости через основание перпендикуляра. На рис. 186 из точки А проведен перпендикуляр к пл.  (А"С" % f"o, AC % h'o и показано построение точки Е, в которой перпендикуляр АС пересекает пл. . Построение выполнено с помощью горизонтально-проецирующей пл. , проведенной через перпендикуляр АЕ. На рис. 188 показано построение перпендикуляра к плоскости, определяемой треугольником ABC. Перпендикуляр'проведен через точку А. Так как фронтальная проекция перпендикуляра к плоскости должна быть перпендикулярна к фронтальной проекции фронтали плоскости, а его горизонтальная проекция перпендикулярна к горизонтальной проекции горизонтали, то в плоскости через точку А проведены фронталь с проекциями A'D' и A"D" и горизонталь А"Е", А'Е'. Конечно, эти прямые не обязательно проводить именно через точку А. Далее проведены проекции перпендикуляра: M"N"% A"D", M'N'% A'E'. Почему проекции на рис. 188 на участках A"N" и А'М' показаны штриховыми линиями? Потому, что здесь рассматривается плоскость, заданная треугольником ABC, а не только этот треугольник: перпендикуляр находится частично перед плоскостью, частично за ней. 75 0x01 graphic На рис. 189 и 190 показано построение плоскости, проходящей через точку А перпендикулярно к прямой ВС. На рис. 189 плоскость выражена следами. Построение начато с проведения через точку А горизонтали искомой плоскости: так как горизонтальный след плоскости должен быть перпендикулярен к В'С, то и горизонтальная проекция горизонтали должна быть перпендикулярна к В'С. Поэтому A'N'% В'С'. Проекция A"N" \\ оси х, как это должно быть у горизонтали. Затем проведен через точку " (" - фронтальная проекция фронтального следа горюонтали AN) след f"o% В"С", получена точка X, и проведен след h'o" II-4'-V' (h^LB'C). На рис. 190 плоскость определена ее фронталью AM и горизонталью AN. Эти прямые перпендикулярны к ВС (А"М"% В"С", A'N' % В'С); определяемая ими плоскость перпендикулярна к ВС. Так как перпендикуляр к плоскости перпендикулярен к каждой прямой, проведенной в этой плоскости, то, научившись проводить плоскость перпендикулярно к прямой, можно воспользоваться этим для проведения перпендикуляра из некоторой точки А к прямой общего положения ВС. Очевидно, можно наметить следующий план построения проекций искомой прямой: 1) через точку А провести плоскость (назовем ее ), перпендикулярную к ВС; 2) определить точку К пересечения прямой ВС с ил. ; соединить точки А и К отрезком прямой линии. Прямые АК и ВС взаимно перпендикулярны. Пример построения дан на рис. 191. Через точку А проведена плоскость (), перпендикулярная к ВС. Это сделано при помощи фронтали, фронтальная проекция 76 A"F" которой проведена перпендикулярно к фронтальной проекции В"С", и горизонтали, горизонтальная проекция которой перпендикулярна к В'С. Затем найдена точка К, в которой прямая ВС пересекает пл. . Для этого через прямую ВС проведена горизонтально-проецирующая плоскость  (на чертеже она задана только горизонтальным следом 1). Пл.  пересекает пл.  по прямой с проекциями 1'2' и 1 "2". В пересечении этой прямой с прямой ВС получается точка К. Прямая АК является искомым перпендикуляром к ВС. Действительно, прямая АК пересекает прямую ВС и находится в пл. , перпендикулярной к прямой ВС', следовательно, AKLBC. В § 15 было показано (рис. 92), как можно провести перпендикуляр из точки на прямую. Но там это было выполнено при помощи введения в систему  1,2 дополнительной плоскости и образования, таким образом, системы 3,  1, в которой пл. 3 проводится параллельно заданной прямой. Рекомендуем сравнить построения, данные на рис. 92 и 191, На рис. 192 изображены плоскость общего положения о, проходящая через точку A, и перпендикуляр AM к этой плоскости, продолженный до пересечения с пл. , в точке В'. Угол 1 между пл.  и пл. nt и угол  между прямой AM и пл.  являются острыми углами прямоугольного треугольника В'AM', и, следовательно, 1 +  = 90°. Аналогично, если пл.  составляет с пл. 2 угол ?, а прямая AM, перпендикулярная к о, составляет с пл. 2 угол ,  2 +  = 90°. Из этого, прежде всего, следует, что плоскость общего положения, которая должна составлять с пл.  угол ,, а с пл. 2 угол 2, может быть построена, лишь если 180° >1 +2>90°. Действительно, складывая почленно  +  = 90° и 2 +  = 90°, получим 1 + 2 +  +  = 180°, . е.  + 2 < 180°, а так как  +  < 90° (см. с. 33),  1 + 2 > 90°. Если взять :1 + 2 = 90°, то получится профильно-проецирующая плоскость, а если взять , + 2 = 180°, то получится профильная плоскость, т. е. в обоих этих случаях плоскость не общего положения, а частного. § 30. ПОСТРОЕНИЕ ВЗАИМНО ПЕРПЕНДИКУЛЯРНЫХ ПЛОСКОСТЕЙ Построение плоскости , перпендикулярной к плоскости о, может быть произведено двумя путями: 1) пл.  проводится через прямую, перпендикулярную к пл. а; 2) пл.  проводится перпендикулярно к прямой, лежащей в пл. ос или параллельной этой плоскости. Для получения единственного решения требуются дополнительные условия. На рис. 193 показано построение плоскости, перпендикулярной к плоскости, заданной треугольником CDE. Дополнительным условием здесь служит то, что искомая плоскость должна проходить через прямую АВ. Следовательно, искомая плоскость определяется прямой АВ и перпендикуляром к плоскости треугольника. Для проведения этого перпендикуляра к пл. CDE в ней взяты фрон- 0x01 graphic Рис. 193 Рис. 194 таль CN и горизонталь СМ: если B"F" % С"" и В'F'%С'М', то BF%пл. CDE. Образованная пересекающимися прямыми А В и ВF плоскость перпендикулярна к пл. CDE, так как проходит через перпендикуляр к этой плоскости. На рис. 194 горизонтально-проецирующая плоскость  проходит через точку К перпендикулярно к плоскости, заданной треугольником ABC. Здесь дополнительным условием явля- 77 лась перпендикулярность искомой плоскости сразу к двум плоскостям: к пл. ABC и к пл. ,. Поэтому и ответом служит горизонтально-проецирующая плоскость. А так как она проведена перпендикулярно к горизонтали AD, т. е. к прямой, принадлежащей пл. ABC, то пл.  перпендикулярна к пл. ABC. Может ли перпендикулярность одноименных следов плоскостей служить признаком перпендикулярности самих плоскостей? К очевидным случаям, когда это так, относится взаимная перпендикулярность двух горизонтально-проецирующих плоскостей, у которых горизонтальные следы взаимно перпендикулярны. Также это имеет место при взаимной перпендикулярности фронтальных следов фронтально-проецирующих плоскостей; эти плоскости взаимно перпендикулярны. Рассмотрим (рис. 195) горизонтально-проецирующую плоскость , перпендикулярную к плоскости общего положения а. Если пл.  перпендикулярна к пл.  1 и к пл. , то  % h'o как к линии пересечения пл.  и пл. ,. Отсюда h'o%  и, следовательно, h'o % ', как к одной из прямых в пл. . Итак, перпендикулярность горизонтальных следов плоскости общего положения и горизонтально-проецирующей соответствует взаимной перпендикулярности этих плоскостей. Очевидно, перпендикулярность фронтальных следов фронтально-проецирующей плоскости и плоскости общего положения также соответствует взаимной перпендикулярности этих плоскостей. 0x01 graphic 0x01 graphic Рис. 196 Но если одноименные следы двух плоскостей общего положения взаимно перпендикулярны, то самые плоскости не перпендикулярны между собой, так как здесь не соблюдается ни одно из условий, изложенных в начале этого параграфа. В заключение рассмотрим рис. 196. Здесь имеет место случай взаимной перпендикулярности одноименных следов в обеих их парах и перпендикулярности самих плоскостей: обе плоскости особого (частного) положения -- профильная  и профильно-проецирующая  § 31. ПОСТРОЕНИЕ ПРОЕКЦИЙ УГЛА МЕЖДУ ПРЯМОЙ И ПЛОСКОСТЬЮ И МЕЖДУ ДВУМЯ ПЛОСКОСТЯМИ Если прямая не перпендикулярна к плоскости, то углом между прямой и плоскостью называют угол между этой прямой и ее проекцией на данной плоскости. Об углах между прямой и плоскостями проекций см, § 13. На рис. 197 изображена прямая АВ, пересекающая пл, 0 в точке D; угол  образован отрезком BD данной прямой и проекцией B°D этого отрезка на пл. 0. 78 Построение проекций угла между прямой АВ и некоторой пл.  выполнено на рис. 198. Пл.  задана ее горизонталью (проекции Р"Н" и Р'Н') и фронталью (проекции P"F" и PF). Построение выполнено в следующем порядке: а) найдена точка D пересечения прямой АВ с пл. о, для чего через АВ проведена горизонтально-проецирующая плоскость ; б) из точки А проведен перпендикуляр к пл. а; в) найдена точка  пересечения этого перпендикуляра с пл.' ос, для чего проведена горизонтально-проецирующая плоскость ; г) через точки D" и Е", D' и  проведены прямые, чем определяются проекции прямой АВ на пл. . 0x01 graphic 0x01 graphic Рис. 197 Рис. 198 Угол A"D"E" представляет собой фронтальную проекцию угла между АВ и пл. , а угол A'D Е' -- горизонтальную проекцию этого угла. Построение проекции угла между прямой и плоскостью значительно упрощается, если плоскость не является плоскостью общего положения, так как в подобных случаях точка пересечения заданной прямой с плоскостью определяется без дополнительных построений. 0x01 graphic 0x01 graphic Две пересекающиеся между собой плоскости образуют четыре двугранных угла. Ограничиваясь рассмотрением угла между  и , показанного на рис. 199, построим его линейный угол, для чего пересечем ребро  двугранного угла плоскостью , перпендикулярной к . Построение проекций линейного угла выполнено на рис. 200. Пл. ос задана треугольником , пл.  -- треугольником . а) Построена пл.  % , проходящая через точку N (пл.  задана ее фронталью NF и горизонталью ). 79 б) Построена линия пересечения плоскостей  и  (прямая E); так как пл.  проведена через точку N пл. о, то надо найти только точку Е, для чего взята вспо- могательная плоскость . в) Найдена линия пересечения плоскостей  и  (прямая NG); здесь также надо было найти только точку G (вспомогательная пл. ). Точка N является вершиной искомого линейного угла, угол E'N'G' представляет собой горизонтальную проекцию этого угла, угол E'N"G" -- его фронтальную проекцию. На рис. 195 построены проекции линейного угла, измеряющего двугранный угол, образуемый пл.  с плоскостью проекций к,. Так как для получения линейного угла надо провести плоскость, перпендикулярную к ребру двугранного угла, то для получения утла наклона пл.  к пл. , проведена пл. , перпендикулярная к следу h'o. Аналогично, для получения угла между пл.  и пл. 2 надо было бы провести плоскость перпендикулярно к. следу f"o. На рис. 195 фронтальной проекцией искомого угла является угол ""', а горизонтальная проекция угла совпадает со следом ". Величина угла может быть определена построением прямоугольного,треугольника по катетам "' и ''.

    ВОПРОСЫ К §§ 29-31

1. Как располагаются проекции перпендикуляра к плоскости? 2. Как взаимно располагаются горизонтальные проекции перпендикуляра к плоскости в ее линии ската, проведенной через точку пересечения перпендикуляра с плоскостью? 3. Как провести плоскость, перпендикулярную к данной прямой (через точку на прямой и через точку вне прямой)? 4. Как провести перпендикуляр из точки на прямую общего положения (при помощи плоскости, перпендикулярной к прямой, и при помощи введения в систему к,, я- дополнительной плоскости проекций)? 5. Как построить взаимно перпендикулярные плоскости? 6. В каких случаях взаимная перпендикулярность одной пары одноименных следов плоскостей соответствует взаимной перпендикулярности самих плоскостей? 7. В каком случае в системе 1,2 взаимная перпендикулярность плоскостей выражается взаимной перпендикулярностью фронтальных следов? В каком случае в системе ·, л2 взаимная перпендикулярность плоскостей выражается взаимной перпендикулярностью горизонтальных следов? 8. Перпендикулярны ли плоскости общего положения одна к другой, если их одноименные следы взаимно перпендикулярны? 9. Что называется углом между прямой и плоскостью и какие действия надо выполнить для построения на чертеже проекций этого угла? Какие действия надо выполнить для построения на чертеже проекций линейного угла для данного двугранного? ГЛАВА V. СПОСОБЫ ПЕРЕМЕНЫ ПЛОСКОСТЕЙ ПРОЕКЦИЙ И ВРАЩЕНИЯ

    В ЧАСТНЫЕ ПОЛОЖЕНИЯ ОТНОСИТЕЛЬНО ПЛОСКОСТЕЙ ПРОЕКЦИЙ

Задание прямых линий и плоских фигур в частных положениях относительно плоскостей проекций (см. §§11, 19) значительно упрощает построения и решение задач, а подчас позволяет получить ответ или непосредственно по данному чертежу, или при помощи простейших построений. Например, определение расстояния точки А до горизонтально-проецирующей плоскости (рис. 201), заданной треугольником BCD, сводится к проведению перпендикуляра из проекции А' к проекции, выраженной отрезком B'D'. Искомое расстояние определяется отрезком А'К'. Излагаемые в настоящей главе способы дают возможность переходить от общих положений прямых линий и плоских фигур в системе 1, 2 к частным в той же системе или в дополнительной. Достигается это: 1) введением дополнительных плоскостей проекций так, чтобы прямая линия или плоская фигура, не изменяя своего положения в пространстве, оказалась в каком-либо частном положении в новой системе плоскостей проекций (способ перемены плоскостей проекций); 2) изменением положения прямой линии или плоской фигуры путем поворота вокруг некоторой оси так, чтобы прямая или фигура оказалась в частном положении относительно неизменной системы плоскостей проекций (способ вращения и частный случай его -- способ совмещения). Введение дополнительных 'плоскостей проекций в систему 1; 2 рассматривалось в § 8, а примеры построений в дополнительных системах были приведены в §§ 13 и 15. Теперь рассмотрим это подробнее.
Общие сведения. Сущность способа перемены плоскостей проекций2) заключается в том, что положение точек, линий, плоских фигур, поверхностей в пространстве остается неизменным, а система 1, 2 дополняется плоскостями, образующими с 1 или 2, или между собой системы двух взаимно перпендикулярных плоскостей, принимаемых за плоскости проекций. 0x01 graphic Рис. 2011) Мы применяем распространенное название "перемена плоскостей проекций", но на самом деле плоскости проекций  и - остаются и лишь вводятся дополнительные плоскости проекций. · 2) Впервые на русском языке способ перемены плоскостей проекций был изложен И. И. Сомовым в его книге "Начертательная геометрия", 1862. Затем этот вопрос получил более подробное и углубленное освещение в трудах Н. И. Макарова и В. И. Курдюмова. Каждая новая система выбирается так, чтобы получить положение, наиболее удобное для выполнения требуемого построения. . В ряде случаев для получения системы плоскостей проекций, разрешающей задачу, бывает достаточно ввести только одну плоскость, например 3% 1 или 4%2; при этом пл. 3 окажется горизонтально-проецирующей, а пл. 4 -фронтально-проецирующей. Если введение одной плоскости, 3 или 4, не позволяет разрешить задачу, то прибегают к последовательному дополнению основной системы плоскостей проекций новыми: например, вводят плоскость 3% 1, получают первую новую систему -- 3, 1, а затем от этой системы переходят ко второй новой системе, вводя некоторую пл. 4% 3. При этом пл. 4 оказывается плоскостью общего положения в основной системе 1, 2. Таким образом, производится последовательный переход от системы 1  2 к системе 3, 4 через промежуточную систему 3, 1. Если "плоскости 3 и 4 все же не разрешают вопроса полностью, можно перейти к третьей новой системе, вводя еще одну плоскость, перпендикулярную к 4. При построениях в новой системе плоскостей проекций соблюдаются те же условия относительно положения зрителя, которые были установлены для системы плоскостей 1 и 2 (см. § 7). Ось проекций будем отмечать записью в виде дроби, считая, что черта лежит на этой оси; обозначения плоскостей представляют собой как бы числитель, и знаменатель дроби, причем каждая буква ставится по ту сторону оси, где должны размещаться соответствующие проекции. Введение в систему 1, 2 одной дополнительной плоскости проекций. В большинстве случаев дополнительная плоскость, вводимая в систему  1, 2 в качестве плоскости проекций, выбирается согласно какому-либо условию, отвечающему цели построения. Примером может служить пл. 3 на рис. 77: так как требовалось определить натуральную величину отрезка АВ и угол между АВ и пл. 1, то пл. 3 была расположена перпендикулярно к пл.  (образовалась система 3, ) и || АВ. На рис. 202 также выбор пл. 3 подчинен цели -- определить угол между прямой CD и плоскостью проекций 2. Поэтому 3%  2 и в то же время пл. 3 параллельна прямой CD (ось 3/2% C"D"). Кроме искомого угла 2 определилась и натуральная величина отрезка CD (ее выражает проекция C"'D"'). И в случае, изображенном на рис. 203, выбор пл. 3 вполне зависит от задания: определить натуральный вид  ABC. Так как в данном случае плоскость, определяемая треугольником, перпендикулярна к пл. 2, то для его изображения без искажения надо ввести в систему ,, 2 дополнительную плоскость, отвечающую двум условиям: 3 % 2 (для образования системы 2, з) и з II ABC (что дает возможность изобразить  ABC без искажения). Новая ось 2/3 проведена параллельно проекций А"С"В". Для построения проекции A'"B'"C"" от новой оси отложены отрезки, равные расстояниям точек A', B' и С от оси 2/ 1. Натуральный вид  ABC выражается новой его проекцией A'"B'"C'". 0x01 graphic 0x01 graphic Рис. 202 Рис. 203 82 Примером построения, в котором выбор дополнительной пл. 3 не уточнен и она может быть любой горизонтально-проецирующей, или фронтально-проецирующей, или профильной плоскостью, лишь бы удобно было строить на ней проекции, служит рис. 204. Цель построения - получить проекции точки пересечения двух профильных прямых AB и СО, лежащих в общей для них профильной плоскости'). На рис. 204 показана горизонтально-проецирующая пл. П3 в качестве дополнительной плоскости проекций. Взаимное положение новых проекций A'."B'" и C'"D'" определяет взаимное положение заданных прямых: в данном случае прямые между собой пересекаются. Проекцией точки пересечения на пл. п3 является точка К'"; по ней находим проекции К' и К". 0x01 graphic Введение дополнительной плоскости проекций дает возможность, например, преобразовать чертеж так, что плоскость общего положения, заданная в системе ь, 2, становится перпендикулярной к дополнительной плоскости проекций. Пример дан на рис. 205, где дополнительная плоскость п3 проведена так, что плоскость общего положения, заданная треугольником ABC, стала перпендикулярной к пл. 3. Как же это получено? В треугольнике ЛВС проведена горизонталь AD. Плоскость, перпендикулярная к AD, перпендикулярна к ABC и в то же время к пл. 1, (так как AD% 1). Этому удовлетворяет пл. 3,  ABC. проецируется на нее в отрезок В'"С"'. Если же плоскость общего положения задана следами (рик 206), то пл. 3 следует провести перпенди- ') То, что прямые АВ и СО пересекаются, следует из сравнения положений точек A и В, С и D. 83 кулярно к следу h' о, т. е. к линии пересечения пл.  и пл. 1. Тем самым пл. 3 окажется перпендикулярной к пл. 1 (т. е. явится дополнительной плоскостью проекций) и к пл. . Теперь надо построить след пл.  на пл. п3. Так как %3, то проекция на пл. 3 любой точки пл.  получится на прямой пересечения пл.  с пл. 3, т. е. на следе '". На рис. 206 такой точкой служит точка N, взятая на следе f"о; построена ее проекция '" (" ="'), через которую, а также через точку пересечения следа h' о , с осью 3/1 проходит след '". Построения на рис. 205 и 206 приводят к получению угла 1 наклона заданных плоскостей к пл. 1. Если же взять пл. 3 (рис. 207), перпендикулярную к пл. 2 и к плоскости, заданной треугольником ABC (для чего надо провести ось 2/3 перпендикулярно к фронтали этой плоскости), то определится угол 2 наклона плоскости ABC к пл. 2. ·

    Введение в систему 1, 2 двух дополнительных плоскостей проекций.

Рассмотрим введение в систему 1, 2 двух дополнительных плоскостей проекций на следующем примере. Пусть требуется заданную в системе  1, 2 прямую общего положения АВ расположить перпендикулярно к дополнительной плоскости проекций. Можно ли достигнуть этого введением лишь одной дополнительной плоскости? Нет. Ведь такая плоскость, будучи перпендикулярной к прямой общего положения, сама в системе 1, 2 окажется плоскостью общего положения, т. е. не перпендикулярной ни к 1, ни к 2. Но этим нарушится условие введения дополнительных плоскостей проекций (см. с. 22). Как же обойти это препятствие и применить все же способ перемены плоскостей проекций? Надо придерживаться следующей схемы: от системы 1, 2 перейти к системе 3, 1( в которой 3% 1 и 3 || АВ, а затем перейти к системе 3, 4, где 4% 3 и 4% АВ (рис. 208). Соответствующий чертеж дан на рис. 209. Дело сводится к последовательному построению проекций А'" и АIV точки А, В'" и B|V точки В. Прямая общего положения в системе  1, 2 оказалась перпендикулярной к дополнительной плоскости проекций 4 с переходом через промежуточную стадию параллельности по отношению к первой дополнительной плоскости 3. Так как пл. 3 расположена параллельно прямой АВ, то расстояния точек А и В от пл. 3 равны между собой и выражаются, например, отрезком А'2; взяв ось 3/4 перпендикулярно к А'"В'" (что соответствует в пространстве перпендикулярности пл. 4 к прямой АВ) и отложив отрезок А IV3, равный А'2, получаем обе проекции, А IV и BIV, в одной точке, т. е. то, что и должно получиться, если АВ% 4. 0x01 graphic На рис. 210 дан пример построения натурального вида  ABC. Здесь также введены две дополнительные плоскости проекций 3 и 4, но по такой схеме:  3 %  1 и 3 % ABC, а 4 %3 и 4 || ABC. Заключительная стадия построения свелась к проведению пл. 4 || пл. ABC (так как требовалось определить натуральный вид  ABC); промежуточной стадией была перпендикулярность дополнительной плоскости 3 к пл. ABC. Эта промежуточная стадия повторяет построение, показанное несколько раньше на рис. 205. В заключительной стадии построения на рис. 210 ось  3/  4 II С'" А'" В"', т. е. пл.  4 проведена параллельно пл. ABC, что и приводит к определению натурального вида, выражаемого проекцией A IV B IV C IV . Итак, в этом примере, чтобы получить параллельность плоскости  ABC и пл. 4, потребовалось предварительно расположить взаимно перпендикулярно  ABC и пл. 3. Наоборот, в примере на рис. 209, чтобы получить перпендикулярность (АВ% 4), предварительно потребовалось положение параллельности (АВ || 3). 0x01 graphic ВОПРОСЫ К §§ 32-33 1. Какие способы преобразования чертежа рассматриваются в главе V? 2. В чем заключается основное различие этих способов? 3. В чем заключается способ, известный под названием "способ перемены плоскостей проекций"? 4. Какое положение в системе пг, л2 должна занять плоскость проекций я-, вводимая для образования системы -к,, , 5. Какое положение в системе ,, - займет плоскость проекций к, при последовательных переходах от ,, - через тс,, тс, к тс,, л.,? 6. Как найти длину отрезка прямой линии и углы этой прямой с плоскостями я· и ·,, вводя дополнительные плоскости проекций? 7. Сколько дополнительных плоскостей надо ввести в систему ,, п2, чтобы определить натуральный вид фигуры, плоскость которой перпендикулярна к пл. яц или к пл. ? 8. Сколько и в какой последовательности надо ввести дополнительных плоскостей в систему it], я-, чтобы заданная прямая общего положения оказалась перпендикулярной к дополнительной плоскости проекций? ' 9. Тот же вопрос, но в отношении получения натурального вида фигуры, плоскость которой есть плоскость общего положения.
При вращении вокруг некоторой неподвижной прямой (ось вращения) каждая точка вращаемой фигуры перемещается в плоскости, перпендикулярной к оси вращения (плоскость вращения). Точка перемещается по окружности, центр которой находится в точке пересечения оси с плоскостью вращения (центр вращения), а радиус окружности равняется расстоянию от вращаемой точки до центра (это радиус вращения). Если какая-либо из точек данной системы находится на оси вращения, то при вращении системы эта точка считается неподвижной. *) Подробное изложение способа вращения дал в свое время В. И. К у  д ю м о в в книге "Курс начертательной геометрии", в отделе, посвященном ортогональным проекциям. Ось вращения может быть задана или выбрана; в последнем случае выгодно расположить ось перпендикулярно к одной из плоскостей проекций, так как при этом упрощаются построения. 0x01 graphic Рис. 211 Действительно, если ось вращения перпендикулярна, например, к пл. 2, то плоскость, в которой происходит вращение точки, параллельна пл. 2. Следовательно, траектория точки проецируется на пл.  2 без искажения, а на пл. 1 -- в виде отрезка прямой линии (рис. 211). ПЕРПЕНДИКУЛЯРНОЙ К ПЛОСКОСТИ ПРОЕКЦИЙ

    Вращение вокруг заданной оси.

1. Пусть точка А вращается вокруг оси, перпендикулярной к пл. 1 (рис. 212). Через точку А проведена пл. , перпендикулярная к оси вращения и, следовательно, параллельная пл.  1. При вращении точка А описывает в пл.  окружность радиуса R; величина радиуса выражается длиной перпендикуляра, проведенного из точки А на ось. Окружность, описанная в пространстве точкой А, проецируется на пл.  1 без искажения. Так как пл.  перпендикулярна к пл. 2, то проекции точек окружности на пл. 2 расположатся на ", т. е. на прямой, перпендикулярной к фронтальной проекции оси вращения. Чертеж дан на рис. 212 справа: окружность, описанная точкой А при вращении ее вокруг оси, спроецирована без искажения на пл. 1 Из точки О', как из центра, проведена окружность радиуса R = О'А'!"No; на пл.  2 эта окружность изображена отрезком прямой, равным 2R. 0x01 graphic Рис. 212 Рис. 213 Рис. 214 На рис. 213 изображено вращение точки А вокруг оси, перпендикулярной к пл. 2. Окружность, описанная точкой А, спроецирована без искажения на пл. 2. Из точки 0", как из центра, проведена окружность радиуса R= О'А'; на пл.  эта окружность изображена отрезком прямой, равным 2R. 86 Из рассмотрения рис. 212 и рис. 213 отчетливо видно, что при вращении точки вокруг оси, перпендикулярной к какой-нибудь из плоскостей проекций, одна из проекций вращаемой точки перемещается по прямой, перпендикулярной к проекции оси вращения. На рис. 214 показан поворот точки A против движения часовой стрелки на угол  вокруг оси, проходящей через точку О перпендикулярно к пл.  2. Из точки О", как из центра, проведена дуга радиуса О"А", соответствующая углу  и направлению вращения. Новое положение фронтальной проекции точки А -- точка 0x01 graphic . 2. Теперь рассмотрим поворот отрезка_прямой линии вокруг заданной оси. Отрезок АВ (рис. 215) повернут в положение0x01  graphic . Очевидно, дело свелось к повороту точек А и В на заданный угол  по заданному направлению. Пути перемещения фронтальных проекций этих точек указаны прямыми, проведенными через А" и В" перпендикулярно к фронтальной проекции оси вращения Новое положение горизонтальной проекции точки А (точка 0x01
graphic ) получено при повороте радиуса О'А' на заданный угол . Для нахождения точки В' (положение горизонтальной проекции точки В после поворота) проведена дуга радиусом О'В" 0x01 graphic 0x01 graphic Рис. 215 Рис. 216 и в этой дуге отложена хорда В1 0x01 graphic , равная хорде 1--2; это соответствует повороту точки В на тот же угол_. Далее, из точек 0x01 graphic ' и 0x01 graphic ' проведены линии связи до пересечения направлениями перемещения фронтальных проекций; получены проекции 0x01   graphic " и 0x01 graphic ". Отрезки прямых между точками 0x01    graphic " и 0x01 graphic " и между точками А' и В' определяют новые положения фронтальной и горизонтальной проекций отрезка АВ после его поворота в положение А В.___· Так как в треугольниках '' и А' В'О' (рис. 215) стороны_В'О' и А'О' треугольника А'В'О' .равны (как радиусы) соответственно сторонам ' и А'О' треугольника А' В'О' и углы, заключенные между указанными_сторонами, также равны, то эти треугольники равны между собой. Значит, А'В1= А' В', т. е. величина горизонтальной проекции отрезка, повернутого вокруг оси, перпендикулярной к пл. 1( не изменяется. Очевидно, такое же заключение справедливо в отношении фронтальной проекции отрезка при его повороте вокруг оси, перпендикулярной к пл. 2. В равных между собой треугольниках А'В'О' и А' В'О' (рис._215) будут равны и их высоты, проведенные, например, из точки О' на А'В' и А' В'. Сделанные выводы позволяют установить следующий способ построения новых проекций отрезка, вращаемого около оси на заданный угол (рис. 216). Через точку О' проводим прямую, перпендикулярную к А'В1; точку С' (пересечение перпендику- 87 ляра с А'В') повертываем на заданный угол. Проведя через точку С" (новое положение точки С') прямую, перпендикулярную к радиусу О' С', получаем направление нового положения горизонтальной проекции отрезка. Так_как отрезки С' А' и С' В1 не_изменяют своей величины, то, откладывая от точки С' отрезки С' А' = С' А' и С' В' = С'В', находим новое положение А'В'_проекции всего отрезка. Нахождение нового положения фронтальной проекции А"В" остается прежним. Указанным способом можно не только повернуть отрезок на заданный угол, но и определить угол, на который надо повернуть заданный отрезок, чтобы придать ему некоторое требуемое положение (например, расположить параллельно плоскости 2). 3. Поворот плоскости вокруг заданной оси сводится к повороту принадлежащих ей точек и прямых линий. Пример дан на рис. 217: треугольник АВС, определяющий плоскость, повернут в положение A B C согласно заданным углу  и направлению, указанному стрелкой. Построение подобно показанному на рис. 215: там были повернуты две точки А и В, здесь же три точки -- вершины А, В и С, а следовательно, и вся фигура. Треугольники А'В'С и А' В1 С' равны между собой по построению: при оси, перпендикулярной к пл.  1, горизонтальная проекция величины своей не изменяет. Это 0x01 graphic 0x01 graphic Рис. 217 соответствует тому, что угол наклона пл. ABC по отношению к пл.  1 не изменяется, ;если ось вращения перпендикулярна к пл.  1. Очевидно, при повороте вокруг оси, перпендикулярной к пл. 2, не изменяется угол наклона вращаемой плоскости к пл. 2 и сохраняется величина фронтальных проекций. При вращении, плоскости, выраженной ее следами, обычно поворачивают один из следов и горизонталь (или фронталь) плоскости. Пример дан на рис. 218; плоскость общего положения  повернута на угол  вокруг оси, перпендикулярной к пл.  1. На следе h'0. взята точка, ближайшая к оси вращения,-- точка А' (О' А' % h'0 )подобно тому, как была на рис. 216 взята точка С'. Затем точка А' повернута на угол . Через полученную точку А' проведена прямая линия, перпендикулярная к О' А'; это горизонтальный след плоскости в ее новом положении. Для нахождения фронтального следа плоскости после ее поворота достаточно найти, помимо найденной точки Х на оси х, еще одну точку, принадлежащую следу. В пл.  взята горизонталь N'F', N"F", пересекающая ось вращения (N'F1 проходит через горизонтальную проекцию оси вращения). Конечно, можно взять горизонталь и не пересекающую ось вращения. Так как горизонталь и при новом положении плоскости останется параллельной ее горизонтальному следу, то надо провести через О' прямую, параллельную h'0 ; получится новое положение гори- 88 зонтальной проекции горизонтали. Фронтальная ее проекция не изменит своего направления, а поэтому легко найти новый фронтальный след горизонтали -- точку N". Теперь можно построить фронтальный след (f"o). Вращение вокруг выбранной осн. В ряде случаев ось вращения может быть выбрана. При этом, если ось вращения выбрать проходящей через один из концов отрезка, то построение упростится, так как точка, через которую проходит ось, будет "неподвижной" и для поворота отрезка надо построить новое положение проекций только одной точки -- другого конца. На рис. 219 показан случай, когда для поворота отрезка АВ выбрана ось вращения, перпендикулярная к пл.  1 и проходящая через точку А. При повороте вокруг такой оси можно, например, расположить отрезок параллельно пл. 2. 0x01 graphic 0x01 graphic Рис.. 219 Рис. 221 Именно такое положение показано на рис. 219. Горизонтальная проекция отрезка в своем новом положении перпендикулярна к линии связи А'А". Найдя точку В" и построив отрезок А" В", получаем фронтальную проекцию отрезка АВ в его новом положении. Проекция А" В" выражает длину отрезка АВ. Угол А" В"В" равен углу между прямой АВ и пл.  1. Если поставить перед собой цель -- определить угол наклона прямой общего положения к пл. 2, то надо провести ось вращения перпендикулярно к пл. 2 и повернуть прямую так, чтобы она стала параллельной пл. . Предоставляем читателю выполнить такое построение. Если при повороте плоскости, выраженной следами, можно выбрать ось вращения, то ее целесообразно расположить в плоскости проекций; построения в этом случае упрощаются. Пример дан на рис. 220. Положим, что ось вращения должна быть перпендикулярна к пл.  1. Если ее взять, в пл. 2, то на следе f"o , оказывается "неподвижная" точка О (в пересечении с осью вращения). После поворота плоскости фронтальный след должен пройти через эту точку. Следовательно, найдя положение горизонтального следа (h'0) после поворота, надо провести след f"o через точку Х и через точку О". По сравнению с рис. 218 упрощение состоит в том, что отпала горизонталь. Она понадобилась бы в случае "ухода" точки Х" за пределы чертежа; но в аналогичном случае на рис. 218 пришлось бы взять две вспомогательные линии. На рис. 221 плоскость общего положения повернута в положение горизонтально-проецирующей; при этом определился угол наклона пл.  к пл. 2. Если взять ось вращения, перпендикулярную к пл.  1 то можно пл.  поставить в положение фронтально-проецирующей, определив при этом угол наклона плоскости к пл.  1. Сравнивая между собой плоскости до и после поворота, замечаем, что угол, образуемый следами f"o и h'0 на чертеже, вообще изменяется. 89 Если представить себе круговой конус с вершиной в точке О и с основанием на рис. 220 в пл. 1ь а на рис. 221 в пл.  2 и .касательную к конусу пл. , то поворот пл.  вокруг оси вращения, совпадающей с осью конуса, представляет собой как бы "обкатку" конуса касательной к нему плоскостью.

    ВОПРОСЫ К § 34-35

1. В чем заключается способ вращения? 2. Что такое плоскость вращения точки и как она располагается по отношению к оси вращения? 3. Что такое центр вращения точки при повороте ее вокруг некоторой оси? 4. Что такое радиус вращения точки? Последующие вопросы относятся к вращению вокруг оси, перпевдикулярной к плоскости проекций. 5. Как перемещаются проекции точки? 6. Какая из проекций отрезка прямой линии не изменяет своей величины? 7. Как осуществляется поворот плоскости: а) не выраженной следами, 6) выраженной следами? 8. В каком случае не изменяется при вращении наклон прямой линии по отношению: а) к пл. ", б) к пл. -? 9. Такой же вопрос относительно плоскости 3. 10. Можно ли путем поворота определить длину отрезка прямой линии и угол ее наклона к пл. , и . ..? 11. Можно ли путем поворота плоскости определить угол ее наклона к пл. а, и к пл. я-? Какое выгодное положение можно придать оси вращения при повороте: 1) отрезка прямой, 2) плоскости, выраженной следами? § 36. ПРИМЕНЕНИЕ СПОСОБА ВРАЩЕНИЯ БЕЗ УКАЗАНИЯ НА ЧЕРТЕЖЕ ОСЕЙ ВРАЩЕНИЯ, ПЕРПЕНДИКУЛЯРНЫХ К ПЛОСКОСТИ , ИЛИ , Раньше (см. § 35) мы видели, что если вращать отрезок прямой линии или плоскую фигуру вокруг оси, перпендикулярной к плоскости проекций, то проекция на эту плоскость не изменяется ни по виду, ни по величине -- меняется лишь положение этой проекции относительно оси проекций. Что же касается другой проекции -- на плоскости, параллельной оси вращения, то все точки этой проекции (за исключением, конечно, проекций точек, расположенных на оси вращения) перемещаются по прямым, параллельным оси проекций, и проекция вообще изменяется по форме и по величине. Пользуясь этими свойствами, можно применить способ вращения, не задаваясь изображением оси вращения и не устанавливая величины радиуса вращения; достаточно лишь, не изменяя вида и величины одной из проекций рассматриваемой фигуры, переместить эту проекцию в требуемое положение, а затем построить другую проекцию так, как.указано выше. Например, задавшись целью повернуть отрезок АВ прямой общего положения (рис. 222) так, чтобы он оказался перпендикулярным к пл.  , начинаем с поворота вокруг оси, перпендикулярной к пл.  1 до положения, параллельного пл.  2, но эту ось на чертеже не указываем. Так как при таком повороте горизонтальная проекция отрезка не изменяет своей величины, то проекцию А' В' берем равной А'В' и располагаем параллельно оси х, что соответствует параллельности самого отрезка пл. 2. Найдя соответствующую фронтальную проекцию отрезка ( А" В") выполняем второй поворот, теперь вокруг оси, перпендикулярной к пл.  2, до искомого положения -- перпендикулярности АВ к пл, . И эту ось на чертеже не изображаем. Располагаем проекцию А"В", равную А"В", перпендикулярно к оси х. Горизонтальная проекция отрезка выражается точкой с двойным обозначением -- А' В'. Итак, выполненные операции соответствуют поворотам вокруг осей, перпендикулярных к плоскостям проекций, но оси эти не указаны. Конечно, их можно найти. 90 Например, если провести прямые -- одну через точки А' и А', другую через В' и В', затем провести перпендикуляры в серединах отрезков А'А' и В'В', то полученная точка пересечения этих перпендикуляров и будет горизонтальной проекцией оси вращения, перпендикулярной к пл. ,. Но, как видно, необходимости в этом нет. На рис. 223 показаны две стадии поворота  ABC, расположенного в плоскости общего положения, с целью получения натурального вида этого треугольника. Действительно, он в последнем своем положении параллелен пл.  1 и, следовательно, проекция 0x01     graphic '0x01 graphic '0x01 graphic ' представляет собой натуральный вид треугольника. Но чтобы получить такое положение, надо предварительно повернуть плоскость общего 0x01 graphic 0x01 graphic Рис. 222 Рис. 223 положения, в которой расположен треугольник, так, чтобы эта плоскость оказалась перпендикулярной к пл. 2. А для этого надо взять горизонталь в  ABC и повернуть ее до перпендикулярности к пл. 2; тогда и треугольник, содержащий эту горизонталь, окажется перпендикулярным к пл.  2. Так как построение производится без указания осей вращения, то проекцию 0x01 graphic '0x01 graphic '0x01 graphic ' располагаем произвольно, но так, чтобы горизонталь оказалась перпендикулярной к пл..п2; для этого проекцию горизонтали 0x01 graphic '0x01 graphic ' направляем параллельно хотя бы линии связи А"А' (чертеж выполнен без оси проекций). При этом повороте подразумевается ось вращения, перпендикулярная к пл. ; поэтому горизонтальная проекция треугольника сохраняет свой вид и величину (0x01    graphic '0x01 graphic '0x01 graphic '= А'В'С'), изменяется лишь ее положение. Так, точки А, В и С при таком повороте перемещаются в плоскостях, параллельных пл. 1; проекции 0x01 graphic ", 0x01 graphic " и 0x01 graphic " находятся на горизонтальных линиях связи А"0x01 graphic ", В"0x01 graphic " и С"0x01 graphic ". При втором повороте, приводящем треугольник в параллельное пл.  1 положение, подразумевается ось вращения, перпендикулярная к пл. 2. Теперь фронтальная проекция при_повороте сохраняет вид и величину, полученные во второй стадии поворота, точки 0x01     graphic , 0x01 graphic и 0x01 graphic перемещаются в плоскостях, параллельных пл. 2, проекции 0x01
graphic ',0x01 graphic ' и 0x01 graphic '_находятся на горизонтальных линиях связи с точками 0x01
graphic ',0x01 graphic ',0x01 graphic '. Проекция 0x01 graphic '0x01 graphic '0x01 graphic ' передает натуральный вид и натуральную величину треугольника ABC. При таком способе, во-первых, несколько упрощаются построения и, во-вторых, не происходит наложения проекций одной на другую, однако чертеж занимает большую площадь1).
этих рисунках показаны последовательный поворот куба и выведение его в положение, когда диагональ АВ расположится перпендикулярно к пл. 2. ') Для рассмотренного случая вращения, а именно без изображения осей вращения, встречается название "способ плоскопараллельного перемещения".

    91

0x01 graphic Рис. 224 Рис. 225 Сначала вращением вокруг оси, перпендикулярной к пл.  1,, куб поставлен так, что диагональ AB оказалась в профильной плоскости (рис. 224). Из этого положения куб переведен в третье, при котором диагональ АВ оказывается перпендикулярной  пл. 2 (рис. 225). Это достигнуто поворотом куба вокруг оси, перпендикулярной к пл. з 1§ 37. ВРАЩЕНИЕ ТОЧКИ, ОТРЕЗКА ПРЯМОЙ, ПЛОСКОСТИ ВОКРУГ ОСИ, ПАРАЛЛЕЛЬНОЙ ПЛОСКОСТИ ПРОЕКЦИЙ, И ВОКРУГ СЛЕДА ПЛОСКОСТИ Поворот плоской фигуры вокруг ее горизонтали. Для определения формы и размеров плоской фигуры можно ее повернуть вокруг принадлежащей ей горизонтали так, чтобы в результате вращения фигура расположилась параллельно плоскости  1. Рассмотрим сначала поворот точки (рис. 226). Точка В вращается вокруг некоторой горизонтально расположенной оси ON", описывая дугу окружности, лежащую в пл. . Эта плоскость перпендикулярна к оси вращения и, следовательно, является горизонтально-проецирующей; поэтому горизонтальная проекция окружности, описываемой точкой В, должна находиться на '. Если радиус_ОВ займет положение, параллельное пл. 1, то проекция О'0x01 graphic ' окажется равной ОВ, т. е. равной натуральной величине радиуса ОВ. Теперь рассмотрим рис. 227. На нем показан поворот треугольника ABC. В качестве оси вращения взята горизонталь AD. Точка А, расположенная на оси 0x01 graphic 0x01 graphic Рис. 226 Рис. 228 ') Получающаяся при этом проекция куба на пл. 2 (рис, 225) совпадает с изображением куба в прямоугольной изометрической проекции, изучаемой в курсе черчения средней школы. 92 вращения, останется на месте. Следовательно, для изображения горизонтальной проекции треугольника после поворота надо найти положение проекций других двух его вершин. Опуская из точки В' перпендикуляр на A'D', находим горизонтальную проекцию центра вращения -- точку О' и горизонтальную проекцию радиуса вращения точки В -- отрезок О'В', а затем фронтальную проекцию центра вращения -- точку О" и фронтальную проекцию радиуса вращения точки В -- отрезок О"В". Теперь надо определить натуральную величину радиуса вращения точки В. Для этого применен способ, указанный в § 13, т. е. построение прямоугольного треугольника. По катетам О'В' и В'В* = В"1 " строим прямоугольный треугольник О'В'В*, гипотенуза его равна радиусу вращения точки В.

Популярность: 48, Last-modified: Wed, 12 Nov 2003 22:07:59 GmT